泰勒公式
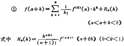
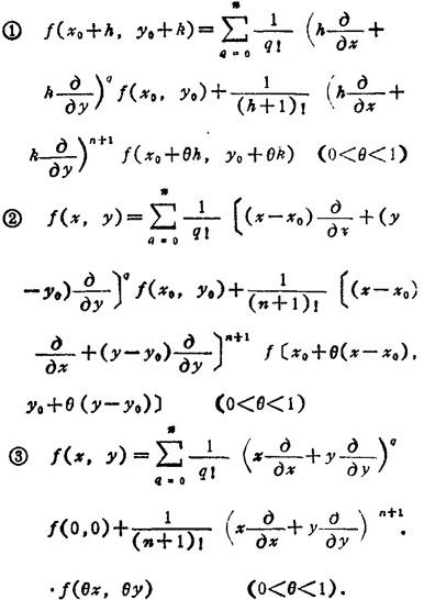
7.6.1 单变量函数的泰勒公式 如果函数f(x)满足条件:(i)在〔a,b〕上有定义,(ii)在此闭区间上有一到n阶的连续导数f′(x),f″(x),… ,(iii)在(a,b)上存在有限导数f(n+1)(x),则f(x)在〔a、b〕上可表示成以下各种形式:   ❸ 特别地, ❷ 中a=0时即得麦克劳林公式。 7.6.2 多变量函数的泰勒公式 假设在点(x0,y0)的邻域D内二元函数f(x,y)有直到n+1阶的一切连续偏导数,当x,y改变后新点(x0+h,y0+k)与旧点(x0、y0)连线线段不越出D外,那么f(x,y)在D内可表为如下形式:  |