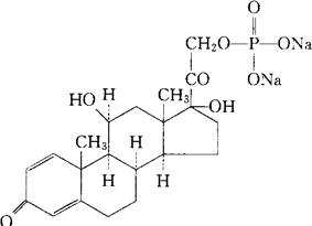
泼尼松龙磷酸钠[中]
C21H27Na2O8P=484.39 CAS-125-02-0 11β,17,21-三羟孕甾-1,4-二烯-3,20-二酮21-磷酸二钠。 11β,17,21-Trihydroxypregna-1,4-diene-3,20-dione 21-disodium phosphate. 肾上腺皮质激素类药。用于风湿性、过敏性疾病、眼科炎症及外伤、烧伤病人的抢救和治疗。 去氢可的松磷酸二钠,氢化泼尼松磷酸钠。 Prednisolone Sodium Phosphate,Prednisolone Phosphate Disodium,Prednisolone Phosphate Sodium,Disodium Predinsolone 21-Phosphate. 氢化泼尼松磷酸二钠注射液。 BP,USAN,USP,MI. 
|