泼那扎特
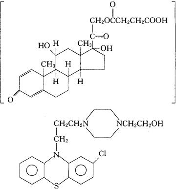
C25H32O8·C21H26ClN3OS=864.49 CAS-5714-75-0 (11β)-21-(3-羧-1-氧代丙氧)-11,17-二羟-孕甾-1,4-二烯-3,20-二酮,与4-[3-(2-氯-10H-吩噻嗪-10-基)丙基]-1-哌嗪乙醇(1∶1)的化合物。 (11β)-21-(3-Carboxy-1-oxypropoxy)-11,17-dihydroxy-pregna-1,4-diene-3,20-dione,compd.with 4-[3-(2-chloro-10H-phenothiazin-10-yl)propyl]-1-piperazineethanol(1∶1). 11β17,21-三羟孕甾-1,4-二烯-3,20-二酮21-(氢琥珀酸酯),与4-[3-(2-氯吩噻嗪-10-基)]-1-哌嗪乙醇(1∶1)的化合物。 11β,17,21-Trihydroxypregna-1,4-diene-3,20-dione,21-(hydrogensuccinate),compound with 4-[3-(2-chlorophenothiazin-10-yl)]-1-piperazineethanol(1∶1) 消炎药。 Prednazate,Sch 6620. INN,USAN. 
|