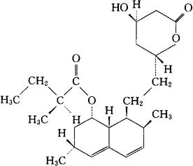
洛伐他汀[中]
C24H36O=404.55 CAS--75330-75-5 1,2,3,7,8,8a-六氢-3,7-二甲基-8-[2-(四氢-4-羟-6-氧代-2H-吡喃-2-基)乙基]-1-萘基酯,[1S[1α(R*),3α,7β,8β,(2S*,4S*)8aβ]]-2-甲基-丁酸。 Butanoic acid,2-methyl-,1,2,3,7,8,8a-hexahydro3,7-dimethyl-8-[2-(tetrahydro-4-hydroxy-6-oxo2H-pyran-2-yl)ethyl]-1-naphthalenyl ester,[1S(1α(R*),3α,7β,8β,(2S*,4S*)8aβ]]-. (S)-2-甲基丁酸8-酯与(4R,6R)-6-[2-[(1S,2S,6R,8S,8aR)-1,2,6,7,8,8a-六氢-8-羟-2,6-二甲基-1-萘基]乙基]四氢-4-羟基-2H-吡喃-2-酮。 (S)-2-Methylbutyric acid,8-ester with(4R,6R)-6-[2-[(1S,2S,6R,8S,8aR)-1,2,6,7,8,8a-hexahydro8-hydroxy-2,6-dimethyl-1-naphthyl]ethyl]tetrahydro-4-hydroxy-2H-pyran-2-one. 降血脂药。 Lovastatin,MK-803. USAN.  |