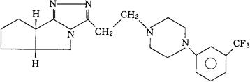
洛吡哌唑
C21H26F3N5=405.47 CAS-108785-69-9 (±)-顺式-5,5a,6,7,8,8α-六氢-3-[2-[4-(α,α,α-三氟-间-甲苯基)-1-哌嗪基]乙基]环戊二烯并[3,4]吡咯并[2,1-c]-均-三唑。 (±)-cis-5,5a,6,7,8,8a-Hexahydro-3-[2-[4-(α,α,α-trifluoro-rn-tolyl)-1-piperazinyl]ethyl]cyclopenta[3,4]pyrrolo[2,1-c]-s-triazole. 抗焦虑药,镇痛药,安定药。 Lorpiprazole. INN,USAN. 
|