网站首页  词典首页

请输入您要查询的字词:

 

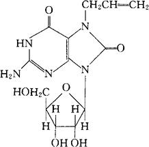
字词 洛索立宾
类别 中英文字词句释义及详细解析
释义 洛索立宾

C13H17N5O6=339.31

CAS-121288-39-9

7,8-二氢-8-氧代-7-(2-丙烯基)-鸟苷。

Guanosine,7,8-dihydro-8-oxo-7-(2-propenyl)-.7-烯丙基-2-氨基-9-β-D-呋喃核糖基嘌呤-6,8(1H,9H)-二酮。

7-Allyl-2-amino-9-β-D-ribofuranosylpurine-6,8(1H,9H)-dione.

免疫兴奋药。

Loxoribine,RWJ21757.

INN,USAN.

随便看

 

文网收录3541549条中英文词条,其功能与新华字典、现代汉语词典、牛津高阶英汉词典等各类中英文词典类似,基本涵盖了全部常用中英文字词句的读音、释义及用法,是语言学习和写作的有利工具。

 

Copyright © 2004-2024 Ctoth.com All Rights Reserved
京ICP备2021023879号 更新时间:2026/4/18 11:18:59