洛美沙星
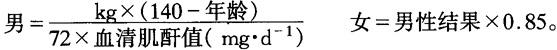
【别名】:盐酸洛美沙星、罗氟哌酸 作用 (1)本药为喹诺酮新药,使用方便。抗菌谱类似氧氟沙星,包括葡萄球菌、柠檬酸杆菌、阴沟肠杆菌、大肠杆菌、流感嗜血杆菌、肺炎克雷伯菌、卡他球菌、奇异变形杆菌及绿脓杆菌(泌尿道感染有效)。 (2)对革兰阴性杆菌有体外抗菌作用,如沙雷菌、军团菌等。 (3)口服吸收好,t1/2约为8h。组织分布广。食物对其无影响。以原形从尿中排出。 用途 (1)敏感菌所致的下呼吸道、泌尿道感染、胆道及肠道感染。 (2)对链球菌、肺炎双球菌、洋葱假单胞菌、支原体和厌氧菌无效。 (3)对志贺菌、淋病及多种病原菌皮肤和软组织感染有效。 用法和用量 (1)口服:每次400mg,qd,10-14d为1疗程。用于呼吸道感染、慢性支气管炎。 (2)手术感染的预防:手术前2-6h,口服400mg。 (3)肾功能不足病人:按血清肌酐值依下式计算:  (4)泌尿道感染:400mg,qd,治疗有并发症的尿道感染,4周后治愈率94%;治疗有并发症的和复发性尿路感染,400mg,qd,治疗10-14d,疗效相当于500mg环丙沙星1日1次疗效。 (5)肠道感染:600mg·d-1,分4次口服,连服4d,有效率92.8%;对菌痢的有效率97%。 (6)志贺菌感染、淋病等感染:均同呼吸道或肠道感染。 剂型与规格 片剂(薄膜衣片):400mg。胶囊剂:100mg。 注意事项 (1)孕妇、授乳妇、<18岁及儿童用药安全性尚未定。对喹诺酮类过敏者禁用。 (2)毒副作用极小,不良反应以恶心(3.7%)、头痛(3.3%)、光敏(2.4%)、眩晕(2.4%)、腹泻(1.4%)为多见;<1%发生率的不良反应有口干、潮红、多汗、疲乏。其他参见诺氟沙星。 |