网站首页  词典首页

请输入您要查询的字词:

 

字词 洛贝林[中]
类别 中英文字词句释义及详细解析
释义 洛贝林[中]

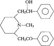
C22H27NO2=337.46

CAS-90-69-7

8,10-二苯基山梗烷酮醇。

8,10-Diphenyllobelionol.

2-[6-(β-羟苯乙基)-1-甲基]-2-哌啶基苯乙酮。

2-[6-(β-Hydroxyphenethyl)-1-methyl]-2-piperidyl acetophenone.

呼吸兴奋药。

山梗菜碱,α-山梗菜碱,半边莲碱。

Lobeline,Alpha-Lobeline.

INN,USAN,MI.

随便看

 

文网收录3541549条中英文词条,其功能与新华字典、现代汉语词典、牛津高阶英汉词典等各类中英文词典类似,基本涵盖了全部常用中英文字词句的读音、释义及用法,是语言学习和写作的有利工具。

 

Copyright © 2004-2024 Ctoth.com All Rights Reserved
京ICP备2021023879号 更新时间:2026/4/17 23:03:39