网站首页  词典首页

请输入您要查询的字词:

 

字词 洛非西定[中]
类别 中英文字词句释义及详细解析
释义 洛非西定[中]

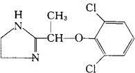
C11H12Cl2N2O=259.13

CAS-31036-80-3

2-[1-(2,6-二氯苯氧)乙基]-2-咪唑啉。

2-[1-(2,6-Dichlorophenoxy)ethyl]-2-imidazoline.

降压药。

洛苯西定。

Lofexidine Loxacor.

INN,BAN,DCF,USAN,MI.

随便看

 

文网收录3541549条中英文词条,其功能与新华字典、现代汉语词典、牛津高阶英汉词典等各类中英文词典类似,基本涵盖了全部常用中英文字词句的读音、释义及用法,是语言学习和写作的有利工具。

 

Copyright © 2004-2024 Ctoth.com All Rights Reserved
京ICP备2021023879号 更新时间:2025/11/30 21:03:54