海人草酸
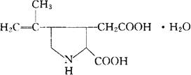
C10H15NO4·H2O=231.25 CAS-487-79-6 2-羟基-4-异丙烯基-3-吡咯烷乙酸。 2-Carboxy-4-isopropenyl-3-pyrrolidineacetic acid. 3-羧甲基-4-丙烯基脯氨酸。 3-Carboxymethyl-4-propenylproline. 驱虫药。 卡英酸。 Kainic Acid,Digenic Acid,LS-Xylo-Kainic Acid, Digenin,Helminal. INN,JP,NFN,USAN,MI. 
|