海他西林钾
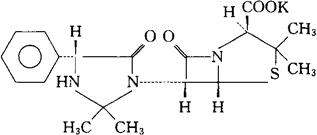
C19H22KN3O4S=427.56 CAS-5321-32-4 CAS-3511-16-8(hetacillin) [2S-[2α,5α,6β(S*)]]-6-(2,2-二甲基-5-氧代-4-苯基-1-咪唑烷基)-3,3-二甲基-7-氧代-4-硫杂-1-氮杂双环[[3.2.0]庚烷-2-羧酸单钾盐。 6-(2,2-Dimethyl-5-oxo-4-phenyl-1-imidazolidineyl)-3,3-dimethyl-7-oxo-4-thia-1-azabicyclo]-3.2.0lheptane-2-carboxylic acid,monopotassium salt[2S[2α,5α,6β(S*)]]-. 6-(2,2-二甲基-5-氧代-4-苯基-1-咪唑烷基)-青霉烷酸钾。 Potassium 6-(2,2-dimethyl-5-oxo-4-phenyl-1-imidazolidinyl)-penicillanic acid. 抗生素类药。 Hetacillin Potassium,Uropen,Versapen K, Hetacin K. JAN,USAN,USP.  |