网站首页  词典首页

请输入您要查询的字词:

 

字词 海南茄
类别 中英文字词句释义及详细解析
释义 海南茄

【名称出处】:《全国中草药汇编》

【概况】:

异名 耳环草、小丁茄(广东),衫纽藤、卜古雀、金纽头、细颠茄(海南)。

基源 为茄科茄属植物海南茄的干燥根。

原植物 海南茄Solanum procumbens Lour(S.hainanensis Hance)

形态 灌木高1~2m,直立或平卧,多分枝,小枝无毛,具黄土色基部宽扁的倒钩刺,刺长2~4mm,基部宽1.5~4mm,端尖,微弯,褐黄色;嫩枝、叶下面、叶柄及花序柄均被分枝多,无柄或具柄的星状短绒毛及小钩刺。

叶卵至长圆形,长2~6cm,宽1.5~3cm,近全缘或作5个粗大的波状浅圆齿,在叶两面均著生1~4个小尖刺;蝎尾状花序顶生或腋外生;花萼杯状,直径约3mm,4裂;花冠淡红色,花冠筒长约1.5mm,冠檐长约9mm,先端4裂;雄蕊4枚,花药先端延长,长约6mm,花柱先端2裂。浆果球形,直径约7~9mm,宿存萼向外反折,果柄长约2cm,顶端膨大;种子淡黄色,近肾形,扁平,长约3mm,宽约2mm。

花期春夏间,果期秋冬。(图见《中国植物志》.第67卷.第1分册.99页.图版24∶4-6)

生境与分布 生于海拔300m左右疏灌丛中或林下。分布于海南、广东。越南、老挝也有分布。

【化学】:

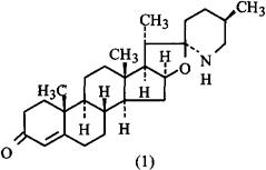
根和叶中含有甾体生物碱[1]茄烯酮(Solasodenone)(1),根中还含有3β-羟基-5α-孕烷-16-酮[2]

参考文献 [1] Phytochemistry 1978;17(6):1070 [2] Phytochemistry 1978;17(10):1802

【药性】:

性味 辛、苦,温。

《全国中草药汇编》:“微苦,凉。有小毒。”

功效 散瘀止痛,祛风,截疟,调经。

主治 跌打损伤,关节肿痛,感冒头痛,扁桃体炎,咽喉炎,疟疾,月经不调。

用法用量 内服:煎汤,6~9g。

【临床应用】:

单方应用 《全国中草药汇编》:“治急性扁桃体炎、咽喉炎:海南茄根30~60g,水煎服。”

随便看

 

文网收录3541549条中英文词条,其功能与新华字典、现代汉语词典、牛津高阶英汉词典等各类中英文词典类似,基本涵盖了全部常用中英文字词句的读音、释义及用法,是语言学习和写作的有利工具。

 

Copyright © 2004-2024 Ctoth.com All Rights Reserved
京ICP备2021023879号 更新时间:2025/10/16 19:16:45