网站首页  词典首页

请输入您要查询的字词:

 

字词 海巴青霉素G
类别 中英文字词句释义及详细解析
释义 海巴青霉素G

C74H100N6O8S2=1265.79

CAS-3344-16-9

CAS-61-33=6(penicillin G)

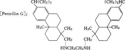
[2S-(2α,5α,6β)]-3,3-二甲基-7-氧代-6-[(苯乙酰基)氨基]-4-硫杂-1-氮杂双环[3.2.0]庚烷-2-羧酸与[1R-[1α-(1R*,4αs*,10αR*)4a]3,10aα]]-N,N′-双-[1,2,3,4,4a,9,10,10a-八氢-1,4a-二甲基-7-(1-甲基乙基)-1-菲基]甲基-1,2-乙烷二胺(2∶1)的化合物。

[2S-(2α,5α,6β)]-3,3-Dimethyl-7-oxo-6-[(phenylacetyl)amino]-4-thia-1-azabicyclo[3.2.0]heptane2-carboxylic acid compd with[1R-[1α-(1R*,4αs*,10aR*)4aβ,10aα]]-N,N′-bis[1,2,3,4,4a,9,10,10aoctahydro-1,4a-dimethyl-7-(1-methylethyl)-1-phenanthrenyl]methyl-1,2-ethanediamine(2∶1).

N,N′-双(去氢枞酸基)乙二胺二青霉素G。

N,N′-bis(Dehydroabietyl)ethylenediamine dipenicillin G.

苄基青霉素酸,N,N′-双(去氢枞酸基)乙二胺双盐。

Benzylpenicillinic acid,N,N′-bis(dehydroabietyl)ethylenediamine double salt.

抗生素类药。

Penicillin G Hydrabamine,Hydrabamine Penicillin G,Compocillin.

USAN,Ml.

随便看

 

文网收录3541549条中英文词条,其功能与新华字典、现代汉语词典、牛津高阶英汉词典等各类中英文词典类似,基本涵盖了全部常用中英文字词句的读音、释义及用法,是语言学习和写作的有利工具。

 

Copyright © 2004-2024 Ctoth.com All Rights Reserved
京ICP备2021023879号 更新时间:2026/4/22 17:05:43