海水水平涡动扩散的半经验理论模型
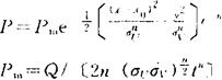
从50年代起,排入海洋放射性废液的涡动扩散问题开始具有工程上的实际意义,从而逐渐引起了人们的注意。 但是,至今还没有比较完整的理论。在这种情况下,从现实出发提出了一个比较切合实际的半经验公式。 对于废液排放入海后的扩散,采用的物理模型是:液团物质在垂直方向(与海面)的一定深度上较快地与海水均匀混合后,一边随著平动流面“漂移”,一边在海水的涡动搅拌作用下以高斯分布的规律向四周扩散,扩散速度与液团尺度有关,可以随著液团尺度的变大而变化。液团的等浓度线图像将是一个拉长了的椭圆。 根据以上几点考虑,给出如下数字模型:令坐标原点为瞬时排放点,时间t从排放时刻算起。x轴与海水有效平动(如海流)方向一致,y轴在水平面上与x轴垂直,x轴与xy平面垂直朝下。  令Q为扩散物质排放总量物质总量或放射性总强度,P为面浓度,Pm'为最大面浓度,n及σc、σv为与t无关的三个基本扩散参量。 |