液体自容器的小孔(缝)流出时间的计算
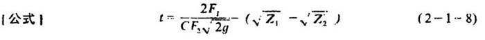
1.液体流空的时间计算 [说明]当上述容器在没有液体补充的非稳定流动情况下,让液体自H液位起,从容器底部或底侧Z2位置小孔流空的时间可用下式计算。   式中 t——时间(s) Z1——开始时液位fm) Z2——小孔位置离基准面的高度(m) F1——容器的横截面积(m2) F,——小孔的截面积(m2) q——重力加速度(9.81m/s2) 2.液体流出一部分的时间计算 [说明]若只须使液体流出总液量的一部分,则所需时间计算如下。见图2-1-1  式中 t——时间(s) Z2——任意停止外流时的液位高度(m) 其它同上 |