网站首页  词典首页

请输入您要查询的字词:

 

字词 液压测量技术通则(摘自JB/T7033-93)
类别 中英文字词句释义及详细解析
释义 液压测量技术通则(摘自JB/T7033-93)

(1)主题内容与适用范围

本标准规定了在静态或稳态工况下测量液压元件性能参数的通用准则。

本标准是在液压元件的测量和测量系统的校准过程中,分析预期的误差根源和误差大小的指导性文件。

本标准适用于液压元件性能参数的测量及其测量系统的校准。

(2)术语与定义

本标准采用下列术语定义。

测量 以确定被测对象量值为目的的全部操作。

测量器具 可单独地或与辅助设备一起用来确定被测对象量值的仪器或装置。

测量系统 组合起来用来进行特定测量任务的全套测量器具和其他设备。

参考基准 在给定的地区所能得到的具有最高计量质量的测量器具,它用来校准同一大类的常规工作用测量器具。

测量误差 测量结果与被测量真值之差。

系统误差 在同一条件下,对同一量的多次测量过程中,绝对值和符号保持恒定,或当条件改变时按一定规律变化的测量误差分量。

随机误差 在实际相同的条件下,对同一量的多次测量中,绝对值和符号都以不可预知方式变化的测量误差分量。

测量重复性 按同一测量方法,由同一观测者,使用同一测量器具,在同一地点,在很短时间内对同一量进行依次测量时,其测量结果的一致性。

静态工况 参数不随时间变化的状态。

稳态工况 变量的平均值不随时间而变化,变量的瞬时值的变化是周期性的且可用简单的数学公式来描述的状态。

校准 在规定条件下确定测量器具或测量系统的示值与参考基准对应示值之间的关系的一组操作。

准确度等级 使误差保持在规定范围以内的,符合一定的计量学要求的测量器具的等级。

测量准确度 测量结果与被测量(约定)真值之间的一致程度。

(3)准确度等级

·根据试验的不同需要,在各类液压元件试验方法标准中都规定了A,B,C三种测量准确度等级。

A级:适用于科学鉴定性试验。

B级:适用于液压元件的型式试验,或者元件制造厂的质量保证试验和用户的选择评定试验。

C级:适用于液压元件的出厂试验,或者用户的验收试验。

·各测量准确度等级的误差范围,由测量系统的系统误差与总随机误差相加得出。总随机误差等于测量系统中各个随机误差的均方根。

(4)误差分类

·测量系统的误差可能与测量系统中的单个元件有关或者与整个测量系统有关。一般说来,对整个系统进行校准和评定,可以得到较小的误差。

·固定误差,如校准中观察到的对真值的已知偏差,应通过调整仪器或修正结果来消除。

如果不能消除,则误差应取为系统误差的最大值。例如,一个压力表与参考基准对比时显示出在量程中段的示值有4%的偏差,而在量程两端的示值有2%的偏差,如该压力表在使用时不加任何修正,则应认为该压力表有4%的系统误差。

某些误差与被测量以外的另一变量(第二变量)有物理规律关系,并可用该变量的已知数学函数来表示,例如温度对压力传感器输出的影响。第二变量的变动所带来的误差既可造成系统误差又可造成随机误差。如果该误差可忽略不计,例如小温度范围内温度的影响,则只需将第二变量允许范围内可能存在的最大误差作为系统误差处理。如果对第二变量的影响进行修正,则应作为随机误差处理,其大小等于第二变量的测量误差。

·上述校准基准中所有已知的误差应作为被评定测量的系统误差处理。

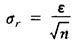
·由重复性带来的重复测量误差应作为随机误差处理。在确定单次测量的误差时,应取按第(5)A第二条规定确定的测量系统的重复误差全值。如果取n次读数的平均值以确定被测值,则由重复性带来的误差按下式计算

式中 σr——随机误差;

ε——按第(5)A第二条规定确定的重复误差;

n——测量次数。

(5)准确度的评定

A.校准

·校准应根据每种类型的测量系统的规定方法进行。通常,校准方法包括使用测量系统测量一个已知值的输入激励信号,或者在某一测量点上至少重复施加同一激励信号5次并取平均值与带有已知校准误差的参考基准对比。校准工作应在测量系统量程内预先规定的点上进行。

·在第j个校准点上,用下式计算标准偏差Sj

式中 Xi——第i次测量值;

X——n次测量值的平均值。

以这样得到的最大标准偏差为测量系统的重复误差ε。

B.部分校准

·由于经济上的考虑或受条件限制而不能按第(5)A条所要求的点数进行校准时,可以使用相同的校准方法在较少的点上进行部分校准。

·校准点的分布应根据测量系统的特性和过去的校准结果来选择,但应包括实际使用量程的首末两端点。

C.校准周期

·校准周期应根据测量系统的准确度等级和稳定性来决定。在两次校准之间,与校准误差有关的误差应为两次校准中算出的误差中的较大者。如果这样得到的误差超出应用范围,则应把下次校准的周期减半,并继续减半直到校准结果落入应用范围内为止。如果这样做仍达不到C级准确度范围,则应淘汰该测量系统。

·对于A级测量,在每次试验开始之前或每连续使用48h之后,或在怀疑有滥用、损坏或校准漂移时,都应进行校准。

对于B级测量,校准周期不得超过1年,部分校准周期不得超过1个月。

对于C级测量,要求至少每年部分校准一次。

注:如果测量系统未经使用的放置时间已超过规定的校准周期,则再次使用之前应进行部分校准。

随便看

 

文网收录3541549条中英文词条,其功能与新华字典、现代汉语词典、牛津高阶英汉词典等各类中英文词典类似,基本涵盖了全部常用中英文字词句的读音、释义及用法,是语言学习和写作的有利工具。

 

Copyright © 2004-2024 Ctoth.com All Rights Reserved
京ICP备2021023879号 更新时间:2025/10/16 22:38:05