温特劳布的货币供应方程式
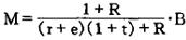
美国经济学家R·温特劳布提出的一种货币供应量决定的理论。与A·贝尔格不同,温特劳布的理论模型考虑了商业银行愿意持有的超额准备金比率。他认为在其他条件不变时,这个比率的大小对货币供给量的大小有著直接的联系。该方程式可用下式表示:  式中,M为货币供应量;B为基础货币;R为通货与存款的比率即通货比率;r为商业银行的法定存款准备率;e为商业银行的超额准备率;t为商业银行定期存款与活期存款的比率。 在该方程中,货币供给量取决于法定存款准备率,超额准备率,定期存款比率和通货比率等四个因素。该方程除多了一个变量e之外,与贝尔格方程并无大的区别。在温特劳布方程式中,存款准备金不仅包括法定存款准备金,而且包括超额准备金。从这个意义上讲,温特劳布方程式比贝尔格方程式更为接近实际的货币供给过程。但是,温特劳布方程式中却没有象贝尔格方程式那样考虑商业银行的借入准备金率。 |