网站首页  词典首页

请输入您要查询的字词:

 

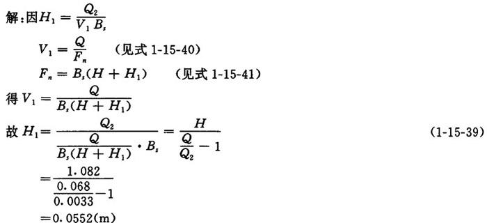
字词 溢流浆位高度的计算
类别 中英文字词句释义及详细解析
释义 溢流浆位高度的计算

【公式】

式中 H1——溢流浆位高度(m)

Q2——溢流浆量(m3/s)

V1——堰池流速(m/s)

Bs——喷唇宽度(m)

【例】 已知某敝开式流浆箱溢流浆量Q2=0.0033m3/s,喷唇宽度Bs=1935mm,进堰池浆量Q=0.068m3/s,上网浆位高度H=1.082m。求溢流浆位高度。

随便看

 

文网收录3541549条中英文词条,其功能与新华字典、现代汉语词典、牛津高阶英汉词典等各类中英文词典类似,基本涵盖了全部常用中英文字词句的读音、释义及用法,是语言学习和写作的有利工具。

 

Copyright © 2004-2024 Ctoth.com All Rights Reserved
京ICP备2021023879号 更新时间:2025/10/16 10:12:43