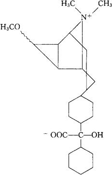
溴托齐林
C24H30BrNO4=476.41 CAS-143-92-0 7-甲氧-8-甲基莨菪鎓溴化物二苯乙醇酸酯。 7-Methoxy-8-methyltropinium bromide benzilate. 溴化3-[(羟-二苯乙酰)氧]-6-甲氧-8,8-二甲基-8-氮鎓双环[3,2,1]辛烷。 3-[(Hydroxydiphenylacetyl)oxy]-6-methoxy-8,8-dimethyl-8-azoni-abicyclo[3,2,1]octane bromide. 解痉药,抗胆碱药。 Tropenziline Bromide,MTS 263,Palerol,Palerosan. INN,USAN. 
|