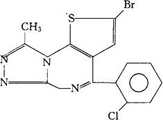
溴替唑仑[中]
C15H10BrClN4S=393.69 CAS-57801-81-7 2-溴-4-(2-氯苯基)-9-甲基-6H-噻吩并[3,2-f][1,2,4]三唑并[4,3-a][1,4]-二氮杂 。 2-Bromo-4-(2-chlorphenyl)-9-methyl-6H-thieno[3,2-f][1,2,4]triazolo[4,3-a][1,4]-diazepine. 安定药,催眠药。 Brotizolam,We 941,Lendorm Ladormin. INN,BAN,USAN.  |