网站首页  词典首页

请输入您要查询的字词:

 

字词 滇黄芩
类别 中英文字词句释义及详细解析
释义 滇黄芩

【概况】:

异名 金不换(云南大理),大苦参、黄龙胆(云南)。

基源 为龙胆科黄秦艽属植物黄秦艽的根。黄秦艽属全世界2种,中国均产,1种药用。

原植物 黄秦艽Veratrilla baillonii Franch.(Swertia mekongensis Balf.f.et Forrest)

历史 本品为云南纳西族常用草药。

形态 多年生草本,高30~45(-85)cm,全株光滑,基部有枯存的黑褐色残叶。

主根圆锥形,黄色。茎直立,黄绿色或上部紫色。基部叶呈莲座状,叶片矩圆状匙形,长5~14cm,宽1.2~2.5cm;叶柄细,长(2-)5~8cm;茎生叶多对,卵状椭圆形,长3.5~8cm,宽1.3~3.5cm,愈向茎上部叶愈小,基部圆形,半抱茎。圆锥状复聚伞花序异形,雌株花较少,花序狭窄,雄株花甚多,花序宽大,密集;花4数,花萼分裂至近基部,萼筒甚短;雌花的萼片卵状披针形,长4~5mm,雄花的萼片线状披针形,长2~2.5mm;花冠黄绿色,有紫色脉纹,长6~7mm,冠筒短,长仅1.5~2mm,裂片矩圆状匙形,雌花的先端常凹形,基部具2个紫色腺斑;雄蕊著生于花冠裂片弯缺处。蒴果无柄,卵圆形,长6~7mm。种子深褐色,近圆形,直径1.7~2mm,表面具细网纹,周缘具宽翅。花果期5~8月。(图见《中国植物志》.第62卷.320页.图版52∶8~10)

生境与分布 生于海拔4400m河滩草丛中。

分布于中国西藏西部及西南部。克什米巴地区也有。

【化学】:

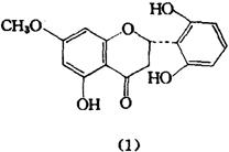
含汉黄芩素(Wogonin)、黄芩素(Baicalein)、粗毛豚草素(Hispidulin)、黄芩甙(Baicalin)、汉黄芩甙(Wogonoside)[1]、滇黄芩新素[Scuteamoenin,(2S)-2′,5,6′-Trihydroxy-7-methoxy flavanone](1)、(2R,3R)-3,5,7-三羟基双氢黄酮[(2R,3R)-3,5,7-Trihydroxyflavanone]、2′,3,5,6′,7-五羟基黄酮(2′,3,5,6,7-Pentahydroxyflavone)、2′,5,7-三羟基-6-甲氧基黄酮(2′,5,7-Trihydroxy-6-methoxyflavone)、黄芩新素Ⅱ(Skullcapflavone Ⅱ)、白杨素(Chrysin)、β-谷甾醇(β-Sitosterol)[2]。还含滇黄芩新甙(Scuteamoenoside)、(2R,3R)-2′,3,5,7-四羟基双氢黄酮[(2R,3R)-2,3,5,7-Tetrahydroxyflavanone]、(2S)-5,7,8-三羟基双氢黄酮[(2S)-5,7,8-Trihydroxyflavanone、(2s)-2′,5,6′,7-四羟基双氢黄酮[(2S)-2′,5,6′,7-Tetrahydroxyflavanone]、(2R,3R)-2,3,5,6′,7-五羟基双氢黄酮[(2R,3R)-2,3,5,6′,7-Pentahydroxyflavanone]、2′,5,6′,7-四羟基黄酮(2′,5,6′,7-Tetrahydroxyflavone)、去甲汉黄芩素(Norwogonin)、千层纸甲素(Oroxylin A)[3]

参考文献 [1] 中草药 1980;11∶337 [2] 药学学报 1990;25∶302 [3] 药学学报 1989;24∶200

【药性】:

性味 苦,寒。

有毒。

功效 清热,消炎,解毒,杀虫。

主治 《新华本草纲要》:“用于肺热咳嗽,阿米巴痢疾,黄疸型肝炎,蛔虫病,痈疮肿毒。”

用法用量 内服:煎汤,3g(分3次服)。外用:研细末调凡士林外搽。

随便看

 

文网收录3541549条中英文词条,其功能与新华字典、现代汉语词典、牛津高阶英汉词典等各类中英文词典类似,基本涵盖了全部常用中英文字词句的读音、释义及用法,是语言学习和写作的有利工具。

 

Copyright © 2004-2024 Ctoth.com All Rights Reserved
京ICP备2021023879号 更新时间:2026/4/16 23:01:29