网站首页  词典首页

请输入您要查询的字词:

 

字词 火场供水战斗车数量的计算
类别 中英文字词句释义及详细解析
释义 火场供水战斗车数量的计算

火场供水战斗车是指靠近火场直接供水灭火的战斗车辆。一般情况下,都受火灾现场地理环境、气象条件及多种因素的限制,而没有绝对的准确值。这里,我们主要是从快速、有效地扑灭火灾的角度考虑,利用火场供水战斗车数量与火场实际消防用水量之间的联系,对火场供水战斗车辆进行相对准确的计算,从而有利于制定较合理的灭火作战计划,达到用较少车辆,供较多水量,有效迅速地扑灭火灾的目的。

通常,火场供水战斗车数量有以下几种计算方法:

按可能燃烧的面积和每支水枪能控制的面积进行计算;

按可能燃烧的周长和每支水枪能控制的周长计算;

按需要挖制的燃烧面积和燃烧周长并根据每支水枪能控制的燃烧面积和燃烧周长计算。

(一)丙类生产厂房、库房及三级耐火等级的公共建筑火场供水战斗车数量计算

丙类生产厂房和库房的生产原料或储存物资均是可燃的,火灾容易蔓延并扩大。三级耐火等级的建筑,因为屋顶及承重构件为燃烧体、吊顶及隔墙又是难燃烧体。在火灾情况下,因为可燃物多,空间大,火灾蔓延亦较快。因此,对这一类火灾的火场供水战斗车数量,我们按可能燃烧的面积和每支水枪能控制的燃烧面积计算。

1.可能燃烧的面积

可能燃烧的面积系指消防队根据灭火作战计划要求,在到达火场所需时间内,火灾现场的燃烧面积。主要取决于可燃物燃烧的发展速度和起火后的燃烧时间。

可燃物燃烧的发展速度与可燃物的性质和状态有关,并且受到气象条件的影响。例如,刨花燃烧发展速度很快,而圆木的燃烧发展速度就较慢;潮湿的木材难于燃烧,而干燥的木材燃烧速度就较快。

对火灾燃烧发展速度影响最大的是气象条件——风。在风力很小时(风力小于二级),火场可视为无风。例如,在封闭较好的房间内发生火灾,燃烧一般是均匀地向四周扩展。在风力较大时,燃烧发展是不均匀的。一般是下风方向发展速度最快,其次是侧风方向,而上风方向发展速度最慢。在丙类厂房和库房,三、四级耐火等级的公共建筑物内发生火灾,风力对初期火灾影响较小,一般可采用三级风力时的燃烧速度进行计算。应该指出,燃烧速度是同时间有关系的,时间越长,则燃烧越快。如果燃烧时间不超过20min,则在三级风力下的平均燃烧速度可采用不大于1m/min计算。

燃烧时间系指起火后到消防队按灭火计划进行出水时止的一段时间。

燃烧时间与消防站的布点、火场水源情况和报警速度有关。我国一般采用电话报警,现有的消防站布局较不合理,加上水源建设跟不上城市建设的发展速度。因此要迅速扑救火灾有一定的困难。但应设法在较短时间内调集一定的消防力量。因此,从起火到消防队到达火场控制火势的时间不宜超过15至20min。

燃烧距离系指起火后,在要求控制火势的时间内,从火源向四周扩散的径向度,即燃烧平均速度和燃烧时间的乘积,可按下式进行计算:

R=V·t

式中:R——燃烧距离,m;

V——燃烧平均速度,m/min;

t——燃烧时间,min。

建筑物内的火灾很少受到风力的影响,因此可按无风时考虑火灾蔓延速度,则火灾由火源向四周扩展,其燃烧面积可按下式计算:

A=π·R2

式中:A——燃烧面积,m2

R——燃烧距离,m;

π——3.1416。

丙类厂房和库房和三级耐火等级公共建筑物内发生火灾后,在燃烧时间15min内,其火灾的平均蔓延速度约为0.80m/miin,考虑到某些可燃物燃烧速度较快,为安全起见,燃烧速度系用0.95m/min,则单层建筑可能的燃烧面积为:

A=π·R2=3.14×(0.95×15)2=638(m2)

双层或多层建筑物的燃烧面积,根据火灾用水量统计,一般为单层的1.5倍,则多层建筑物(不包括高层)燃烧面积为:

A=1.5×638=957(m2)

由此可见,单层建筑物的可能燃烧面积可按600~700m2计算,一般可按600m2计算。当超过600m2时,仍按600m2进行计算,多层建筑物按900m2计算。

2.每支水枪控制的燃烧面积

每支水枪能控制的面积与水枪的喷嘴口径、有效射程和水枪的水平控制角度有关。扑救丙类厂房,三级耐火等级的公共建筑物的室外火灾,我国常采用口径19mm水枪,其充实水柱长度为15m,相应流量为6.5l/s。火场实践经验证明,水枪的水平控制角度与水枪手的操作水平有关,一般在30-60度之间,为了水枪手不被辐射热烤伤,水枪手离燃烧物的距离,一般不小于7—10m(有效射程不小于15m)。

灭火试验资料说明,扑救一、二、三级耐火等级的丙类火灾危险性厂房和库房、三级耐火等级民用建筑物的火灾,火场灭火用水的供给强度不应小于0.12~0.20l/s·m2

若采用供给强度为0.12l/s·m2,则一支口径19mm水枪,有效射程15m,水枪的流量为6.5l/s,能控制的燃烧面积为:

S——水枪手的安全距离(10m);Sk-水枪的有效射程(15m)

根据扇形面积计算公式,有

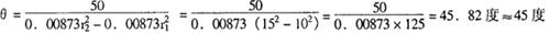
A=0.00873r2θ

其中A为扇形面积;

θ为中心角。

当水枪保护面积为50m2时,水枪手水平控制角度为:

同理,当水枪手的保护面积为30m2时,水枪手水平控制角度:

θ=27.49度≈30度。

由此可见,一支Φ19mm水枪控制面积在30至50m2时,水枪手的水平控制角在30-45度,符合其允许控制角30-60度的范围。同时,Φ19mm水枪其供水强度为0.12-0.2l/s·m2时,可以满足灭火要求。所以,每支水枪能控制的燃烧面积,我们可以按30-50m2计算。

3.火场供水战斗车数量

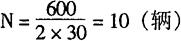
丙类火灾危险性厂房、三级耐火等级公共建筑物的单层建筑燃烧面积为600m2,多层建筑的燃烧面积为900m2,而每支Φ19mm水枪的控制燃烧面积为30-50m2,每辆消防车按出两支Φ19mm水枪,则需要的火场供水战斗车数量可按如下公式计算:

N=A/2a

其中,N——火场供水战斗车数,辆;

a——每支水枪控制的燃烧而积,m2

A——火场可能燃烧面积,m2

(1)单层建筑火场供水战斗车数量

当建筑物内可燃物较少,每支水枪控制燃烧面积按50m2计算时,火场供水战斗车数量为:

当建筑物内可燃物质较多,每支水枪的控制燃烧面积按30m2计算时,火场供水战斗车数量为:

可见,丙类火灾危险性厂房和库房,三级耐火等级公共建筑物的单层建筑的火场供水战斗车数量为6~10辆。

(2)多层建筑物火场供水战斗车数量,当建筑内可燃物较少,每支水枪的控制燃烧面积按50m2计算时,火场供水战斗车数量为:

当建筑物内可燃物较多,每支水枪的控制燃烧面积按30m2计算时,火场供水的战斗车数量为:

可见,丙类火灾危险性厂房和库房,三级耐火等级公共建筑物的多层建筑火场供水战斗车数量在9~15辆之间。

但在实践工作中,往往又有各地的具体情况,所以我们还可从实际出发,灵活掌握火场供水战斗车数量的计算和估算。

(二)易燃材料堆场和易燃建筑区火场供水战斗车数量计算

易燃材料堆物和易燃建筑区往往因为拥有大量易燃、可燃物质,且防火间距不足,极易引起火灾,且蔓延速度快,容易造成大面积火灾,所以一般情况下占地面积小于600m2的堆场,可按燃烧面积和每支水枪可控制的燃烧面积计算,而占地面积超过600m2的易燃材料堆场和易燃建筑区火灾,可按可能燃烧的周长和每支水枪可能控制的周长计算火场供水力量。

1.可能燃烧的面积

燃烧面积取决于燃烧发展速度和起火后消防队到达火场的时间。

易燃材料堆场和易燃建筑区火灾受风力的影响很大,燃烧速度主要取决于火场的风力大小。风力越大,火灾燃烧发展速度越快,同时随著燃烧时间的增加和火场辐射热的增大,燃烧速度也随之增大。此外,在不同风向上,燃烧发展速度差异也很大,下风方向燃烧速度最快,侧风向其次,上风向速度最小。根据试验和火灾统计资料,易燃材料堆场和易燃建筑区在不同风力,风向和不同燃烧时间内,火灾燃烧发展的平均速度列于表2-6-20。

表2-6-20 火灾蔓延平均速度

由表2-6-20可以看出,风力对火灾蔓延速度影响很大。例如起火后15min,三级风力时下风方向的火灾蔓延速度为1.2m/min,而在九级风力时下风方向的火灾蔓延速度为11m/min,为三级风力时的九倍多。

同时可以看出,火灾蔓延速度随燃烧时间的增长而增大。

一般情况下,在风力较小时,火灾蔓延速度受燃烧时间的影响较小,当超过三级风力时,火灾蔓延速度受燃烧时间的影响则显著增加。

风向不同时,火灾蔓延速度也相差很大。看表中,六级风力时,发生火灾15min后,上风方向火灾蔓延速度为1.2m/min,侧风向为1.8m/min,下风向为4m/min。上风向火势蔓延最慢,侧风向较快,而下风向火灾蔓延速度最快。

火灾蔓延距离随著火灾燃烧时间的增长而增大,是个变量,计算起来比较麻烦。一般情况下,参阅表2-6-21选择较大的火灾蔓延速度进行计算。

表2-6-21 火灾蔓延距离

火场燃烧面积与火场风力大小,火场建筑物的布局有关。

火场风力小于二级时,可视为无风。无风时,火场的火焰可视为垂直向上,火灾将从火源向四周近似等速扩展(假定火场可燃物性质相同,且无障碍),这种情况下,为简化计算,火场燃烧面积可视为圆形,并按下式计算。

A=π·R2

A-火场燃烧面积,m2

π-圆周率,3.14;

R-火焰边缘与火焰中心距离,即计算燃烧面积时的圆半径,m。

R的大小可按下式计算:

R=V·t

式中:V-火灾蔓延速度,m/min;

t-火灾燃烧时间,min。

A=π·(VT)2=πV2t2

有风时火场燃烧面积和周长

火场有风时(三级或大于三级风力),火焰是倾斜的,火灾燃烧面积接近椭圆形,故不同时间内可按近似椭圆形计算燃烧面积。

一般情况下,易燃材料堆场和易燃建筑区起火后,在不同时间内,不同风力情况下,其火场的燃烧面积和燃烧周长参考下表进行近似计算:

表2-6-22 不同风力,不同燃烧时间内可能燃烧的面积和周长

可以看出,风力和燃烧时间对火场供水力量影响极大。

在实际扑救中,往往因为供水力量不能同时到达火场,而延误战机。为此,需要根据当地气象条件、地理环境、水源情况具体考虑,灵活确定易燃材料堆场和易燃建筑区的可能燃烧面积和周长。

2.水枪能控制的燃烧周长

扑救易燃材料堆场和易燃建筑区火灾,辐射热较大,火场上使用的水枪有效射程一般不应小于15m。当水枪有效射程为15m,水枪控制角30~60度时,水枪的控制周长可按扇形的弧长公式计算。

(1)有效射程15m,控制角30度时水枪的控制周长

(2)有效射程15m,控制角60度时水枪的控制周长(3)带架水枪有效射程30m,控制角60度时的控制周长

一般情况,不同口径手提式水枪,当有效射程不小于15m时,其控制周长如表2-6-23。

表2-6-23 手提式水枪可能控制的燃烧周长

扑救室外火灾,我国消防队常采用口径19mm水枪,有效射程不小于15m,每支水枪的控制周长可按15m计算。

3.火场供水战斗车数量

占地面积小于600m2的易燃材料堆场的火场供水力量,宜按火场可能燃烧的面积和每支水枪可能控制的燃烧面积计算;占地面积大于600m2的易燃材料堆场和易燃建筑区的火场供水力量应按可能燃烧的周长和每支水枪能控制的燃烧周长计算。

式中:N-火场供水战斗车数(辆)

L-火场燃烧周长(m)

l-每支直径19mm水枪的控制周长,一般按15m计算。

n-备用机动供水战斗车数,一般采用1-2辆。

(三)高层建筑火场供水战斗车数量

高层建筑消防给水虽然主要立足于自救,但是应有移动式消防给水设备,一般情况下,不应小于表2-6-24要求。

表2-6-24 高层建筑扑救初、中期火灾用水量和供水战斗车数量

建筑高度小于50m的高层建筑,可采用一般消防车双干线并联供水,每辆普通消防车的供水量为5-6l/s,即每辆普通消防车按出一支口径19mm水枪计算。

建筑高度超过50m的高层建筑,可采用黄河牌(或交通牌)消防车双干线并联供水,每辆消防车的供水量为10-12l/s,即每辆黄河牌(或交通牌)消防车按出两支口径19mm的水枪计算。

(四)油品厂房、库房和液体桶装

堆场火场供水战斗车数量计算

易燃和可燃液体火灾危险性较大,一旦发生火灾,蔓延较快,需用泡沫灭火设备及时控制和扑救火灾。但同时,又由于这类厂房、库房危险性较大,其建筑物的构造及布局都受到较为严格的控制,所以火灾情况下,其燃烧面积并不大,一般不超过400m2

1.火场需要的泡沫枪

泡沫枪进口压力为500kPa(50米水柱)时,每支泡沫枪的泡沫量为:

PQ4型泡沫枪的泡沫量为20l/s;

PQ8型泡沫枪的泡沫量为40l/s;

PQ16型泡沫枪的泡沫量为80l/s。

一般情况下,可燃液体生产厂房、库房、堆场发生火灾,需要的泡沫供给强度不应小于1.5l/s·m2,因此,每支泡沫枪的控制面积:

PQ4型为13m2

PQ8型为26m2

PQ16型为50m2

那么,火场需要的泡沫枪数量可按下式计算:

式中:

A:火场燃烧面积,m2。可按防火墙间的占地面积计算,当占地面积超过400m2时,似按400m2计算;

N:需要泡沫枪数量,支;

a:每支泡沫枪的控制面积,m2

2.火场供水战斗车数量

易燃、可燃液体、生产厂房、库房、堆场火场供水的战斗车数量由需要的泡沫枪和冷却用的水枪以及每辆消防车能提供的泡沫枪和水枪数量决定,可按下式计算:

式中:

N1:火场需要的供水战斗车数,辆;

N2:火场需要的PQ8型泡沫枪数,支;

n3:每辆消防车能提供的PQ8型泡沫枪数,支。见表2-6-25。

表2-6-25 每辆中型消防车提供的泡沫枪数

n4:邻近建筑物需要冷却保护使用的火场供水战斗车数,辆。

(五)露天生产装置区火场供水战斗车数量的计算

炼油、石油化工厂的露天生产装置区内有大量的易燃、可燃液体和可燃气体,生产过程中有高温高压,生产工艺操作连续化,化学反应复杂,电源、火源较多,容易发生火灾爆炸事故,容易蔓延扩大造成大面积火灾。因此,炼油、石油化工厂的露天生产装置区一般设有为其服务的消防站、扑救火灾的高压消防给水系统及其带架水枪,扑救初期火灾的消防点或设置低压给水系统及其消火栓,为防止火灾迅速蔓延有时还设有阻火的水幕设施。

大中型石油化工厂,炼油厂的消防站的位置,一般能满足消防队接到报警后5min内消防车到达露天生产装置区,离露天生产装置的距离一般不超过2.5km,消防水源,可采用天然水和消防给水管道。当利用天然水源时,应保证消防通道和消防用水量;当采用消防给水管道时,应采用独立的消防给水管网,也可采用消防、生活合用的给水管网进行供水。

1.露天生产装置区火场用水量

(1)露天生产装置区高压给水系统用水量

露天生产装置区的消防用水量应为固定高压水枪、移动高压带架水枪、喷淋冷却设备、水幕系统以及水、泡沫两用枪等用水量之和。

❶ 固定高压水枪用水量

在移动式水枪喷射不到的地点、发生火灾急需用水冷却或易于蔓延扩大而难于控制火势的地方,应设置固定高压水枪。

固定高压水枪的用水量为同时使用水枪数量与每支水枪用水量的乘积。

固定水枪同时使用的数量应根据生产装置的物料性质、火灾危险性、装置的规模和平面布置状况决定,用水扑救火灾的装置区的高压水枪数量一般不应少于4支。

固定高压水枪的用水量与水枪喷咀口径、水枪有效射程有关。固定高压水枪的有效射程,应按保护对象的高度由计算决定,控制高度一般为20-30m,计算有效射程时水枪上倾角不宜大于45度。

❷ 移动式高压带架水枪用水量

移动式高压带架水枪用水量视实际需要确定。

❸ 喷淋设备用水量

固定喷淋冷却设备喷头的设置应保证被保护设备各部分获得均匀冷却。塔群喷淋环管的垂直距离不应超过15m,以免出现空白点。

❹ 水幕设备的用水量

水幕设备喷头的压力可由计算确定,一般不宜小于300kPa。水幕用水供给强度不宜小于1.0l/s·m。

❺ 泡沫、水两用水枪的用水量

两用枪的压力和流量应根据保护对象的高度由计算决定,一般喷嘴的压力不宜小于500kPa,流量不宜小于2l/s。

(2)露天装置区低压给水系统的火场用水量

露天生产装置区的低压消防给水系统用水量与装置规模、工艺流程、消防装备有关,很难按不同部位来确定,其用水量可按表2-6-26进行估算。

表2-6-26 露天生产装置区火场用水量

注:年产量在100-200万吨可视为中型。

年产量在250吨以上为大型。

2.露天生产装置区火场供水战斗车数量

一般消防车出两支口径19mm水枪,每支水枪的有效射程不小于17米,每支水枪的流量为7.5l/s,则每辆消防车的供水量为15l/s。因此,露天生产装置区火场供水战

斗车数量可按下列公式计算:

式中:Qh——火场供水量l/s;

N——火场供水战斗车数,(辆);

qΦ19每支口径19mm水枪用水量,l/s;

2——每辆消防车出两支水枪;

n——备用战斗车数,一般为1-2辆。

根据计算,不同规模炼油厂,石油化工厂等露天生产装置区的火场供水战斗车数,不应小于表2-6-27所示。

表2-6-27 露天生产装置区火场供水战斗车数

(六)立式油罐区火场供水战斗车数量计算与估算

用空气泡沫扑救油罐火灾时的火场供水战斗车数量,包括泡沫灭火力量和冷却供水力量两部分。

在制定火场供水计划时,可按常规方法计算火场供水战斗车数量;在没有制定火场供水计划的油罐发生火灾后,应用火场供水战斗车数量的估计方法,确定火场供水战斗车数量。

1.火场供水战斗车数量计算

火场需要的供水战斗车包括:灭火需要的战斗车、冷却需要的战斗车、扑救流散液体火焰所需战斗车及备用战斗车。

(1)灭火需要的战斗车数量

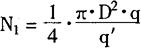
灭火需要的战斗车数量可按下式确定:

式中:N1-火场需要的灭火战斗车数量,辆。一般按罐区内最大一个罐考虑;

D-最大罐直径,m;

q-要求的最小泡沫供给强度,l/s·m2。一般按1.25l/s·m2计;

q′-泡沫车的泡沫供给强度,l/s。由泡沫车的供泡能力确定。

在实际计算时,应结合具体实际情况,根据供泡过程中的损耗对公式加以修正。假若利用泡沫炮灭火,由于地形限制,只有50%的泡沫打入油罐中,则所需战斗车数量就应在公式的基础上加倍。

(2)冷却需要的战斗车数量

冷却需要的战斗车数量可按下式确定:

式中:N2-冷却需要的战斗车数量,辆。包括著火罐和邻近罐所需的战斗车数量;

D-著火罐的直径,m;

n-邻近罐的数量。距离著火罐的间距在1.5倍直径范围内的罐都为邻近罐;

Di-邻近罐的直径,m;

q1-冷却水供给强度,l/s·m;

qh-每辆战斗车的供水量,l/s。出2支枪为15l/s,出3支枪为22.5l/s。

冷却水供给强度一般可按0.8l/s·m考虑。

(3)扑救流散液体火灾所需战斗车数量

对储油罐区,应考虑配备必要的炮沫枪,用于扑救从储罐内流出的易燃液体流淌火灾,以防止火灾的蔓延。配备的泡沫枪数量根据罐区内最大罐的直径确定,直径小于15m,需配备2支PQ8型炮沫枪;直径在15~25m,则需配备3支PQ8型炮沫枪;直径大于25m,则需配备4支PQ8型炮沫枪。

扑救流散液体火灾所需战斗车数量,应根据罐区需要的泡沫枪数量确定,一般为1~2辆。

(4)立式油罐区所需战斗车总量

立式油罐区所需战斗车的数量可由下式计算:

N=N1+N2+N3+N4

式中:N-立式油罐区所需战斗车总数,辆;

N1-火场需要的灭火战斗车数量,辆;

N2-火场需要的冷却车数量,辆;

N3-扑救流散液体火焰所需战斗车数量,辆;

N4-备用战斗车数量,辆。

3.火场供水战斗车数量的估算

在没有制订火场供水计划的罐区,消防队到达火场后,应迅速估算出火场需要的供水战斗车数量,以利于及时调集力量,组织火场扑救工作。

(1)灭火战斗车数的估算

为迅速估算出扑救著火油罐供水战斗车数量,可按油罐的液面积和每辆消防车能控制的燃烧面积进行估算。

一般情况下,可按每一辆泡沫车能控制100m2燃烧面积进行估算;

一般油罐在不同容量时,需要扑救著火油罐的供水战斗车数量如表2-6-28。

表2-6-28 扑救不同容量油罐需用的供水战斗车数

注:小于1000T按1000T计算。

(2)冷却著火罐战斗车数量的估算

冷却著火油罐供水战斗车数量,按油罐的整个周长和每辆消防车能控制的周长进行估算。

每辆一般消防车按出2支口径19mm水枪,每辆消防车能控制燃烧油罐周长20m计算。不同容量著火罐需要供水战斗车数量,可按表2-6-29进行估算。

表2-6-29 不同容量著火罐需要战斗车数

(3)冷却邻近油罐战斗车数量的估算。

冷却邻近油罐按半个周长计算每辆消防车按能控制20m周长进行估算。

不同容量邻近油罐需要冷却的供水战斗车数可按表2-6-30估算。

表2-6-30 不同容量邻近罐需要战斗车数

注:2000T和3000T油罐的供水战斗车数量为1.5辆,当邻近油罐为一个时,可按2辆计,当邻近油罐为2个以上时,按四舍五入计算。

(4)扑灭流散液体火焰火场供水战斗车数量的估算。

扑灭流散液体火焰以及保护四周建筑物的供水战斗车数,应视火场的具体情况决定。一般情况下,根据油罐的不同容量,按统计资料决定供水战斗车数。

每辆泡沫消防车按能出两支PQ8型泡沫枪计算。

扑灭不同容量油罐的流散液体火焰需要的泡沫枪和供水战斗车数量,可按表2-6-31估算。

表2-6-31 扑救流散液体火焰需要的战斗车数

注:需要供水战斗车数应视具体火场可适当变动。

(5)备用战斗车数

火场备用(机动)供水战斗车数一般可采用一辆。

(6)火场供水战斗车总数的估算

火场供水战斗车总数为上述各项供水战斗车数的总和。即为扑救著火罐供水战斗车数,冷却著火罐供水战斗车数,冷却邻近罐供水战斗车数,扑灭流散液体火焰供水战斗车数和备用供水战斗车数的总和,可按表2-6-32估算。

表2-6-32 火场供水战斗车数

注:此表内是按一个邻近罐,且罐区油罐直径均相同时估算的火场供水战斗车总数。若罐区内油罐直径不同时,应按不同直径(或容量)的油罐进行估算。

(七)卧式油罐火场供水战斗车数量计算

工业企业内附属的油库和商业油库内,常用卧式油罐储存油品,设置卧式油罐区。因此,卧式油罐的特点是,容量较小、且油品种类较多。

卧式油制罐发生火灾,可能个别油罐发生著火燃烧,也可能由于卧式油罐破裂,油品流散发生流散液体火灾。

卧式油罐火场需要的供水战斗车数量,应根据不同情况,从实际出发,进行计算。一般有下述两种方法。

1.按燃烧面积计算火场供水战斗车数量。

当油罐的容量较小,但土堤内(卧式油罐数量较多时,应采用土堤内)可能燃烧的面积,计算火场供水战斗车数量。

燃烧面积一般按土堤内的占地面积计算,但当土堤面积超过400平方米时,仍按400平方米计算供水战斗车数。

扑救卧式油罐区内的火灾时,由于阻碍泡沫流散的障碍物较多,宜采用较大的泡沫供给强度。一般情况下,泡沫的供给强度不宜小于1.251/s·m2

每辆泡沫消防车一般可按使用两支PQ8型泡沫枪计算,大功率泡沫消防车可按4支PQ8型泡沫枪计算。

当泡沫枪的进口压力为500kPa时,每支泡沫枪的泡沫产生量为40l/s,则能控制的燃烧面积为:

因此,每辆中型泡沫消防车能控制的燃烧面积为2×3=64(m2),一般按60m2计算。

同理,大功率消防车能控制的燃烧面积为120m2

故需战斗车数量N1=燃烧面积(m2)/60(或120)。

2.按水枪数量或燃烧面积计算火场供水战斗车数

当卧式油罐容量较大,但数量较少时,应按燃烧面积或水枪数量计算得到的火场供水战斗车数量较大者决定。

(1)按燃烧面积计算火场供水战斗车数量方法同上,这里就不重复了。

(2)按水枪数量计算火场供水战斗车数量

扑救卧式油罐火灾需用的水枪数量,为燃烧罐和邻近罐需用的水枪数之和。

根据火场经验,扑救著火罐火灾需用的水枪数量不宜小于4支;冷却邻近罐的水枪数量,应根据邻近罐的数量和每个邻近罐不小于2支水枪的要求确定。

扑救和冷却卧式油罐的水枪,其口径不宜小于19mm,水枪的有效射程不宜小于15m,因此,每支水枪的流量不小于6.5l/s。

每辆消防车按可供两支水枪用水计算。

(八)液化石油气储罐火场供水战斗车数量计算

液化石油气由丙烷C3H8、丙烯C3H6、丁烷C4H10和丁烯C4H8等组成。液化石油气的比重比空气大1.5倍——2.0倍,液化石油气流散时往往沿地面扩散。因此,液化气罐发生火灾,应采取工艺措施断绝液化气的来源,降低液化气罐的压力。并及时采取冷却措施,防止罐内液化气温度升高而膨胀,导致裂口扩大。

液化石油气发生火灾后,在没有采取可靠措施以前,将火灾扑灭是危险的,因为会导致液化气在火场四周漫散,可能造成恶性的二次火灾。因此,液化气罐发生火灾,主要任务是用水枪进行冷却,防止液化石油气罐的泄漏扩大或邻近液化气罐受到高温作用而发生爆炸。只有在条件许可时,才可扑灭火焰。因此,液化石油气罐区的供水战斗车数量,仅按冷却用水的供水战斗车数量计算,包括著火罐冷却用水供水战斗车数量和邻近液化气罐冷却用水供给战斗车数量两部分。

1.冷却用水需要的水枪数量

(1)著火罐一般应按整个球面积进行冷却计算

球形罐的球面积可按下式计算:

A=πD2

A:球罐表面积,m2

π:圆周率3.14;

D:球的直径,m.

液化石油气罐发生火灾,辐射热很大,尤其燃烧部位的辐射热最大,需要用强大的水枪射流进行冷却,根据测定,在燃烧部位的罐壁的冷却水供给强度为1l/s·m2时,才能保证罐壁的强度不致降低,而著火罐的背火面辐射强度较小,同时指出,风力和风向对燃烧火焰的辐射热有较大的影响,特别是著火部位对燃烧罐的影响极大,在罐的底部燃烧时,对罐的影响最大,而在上部燃烧时,对燃烧罐的影响较小。

为了计算方便,可按每支水枪控制的面积进行计算,喷嘴口径19mm水枪,当有效射程不小于15m(一般采用17m)时,每支水枪能控制的冷却面积,可按30m2计算。

液化气罐的容量较小,球面积不大,计算出来的水枪数量小于4支时,由于战术上的需要,及操作上的要求,仍应采用4支水枪。

若液化气罐的容量较大(球面积大),计算出来的水枪数量很多,由于液化气罐的上部冷却用水流至罐的下部,仍能起到一定的冷却作用,因此当计算出来的水枪数量超过10支时,可减少冷却水枪数量,一般可减少三分之一,但减少后水枪数量不应小于10支,当著火罐冷却水枪数量超过20支时,仍可采用20支水枪。

不同直径的液化石油罐的著火罐冷却用水需要的水枪数量按表2-6-33确定。

表2-6-33 著火罐使用水枪数量

(2)邻近罐一般按半个球面积进行冷却计算

距著火罐的罐壁30m(著火罐容量小于200m3,可减为15m)范围内或距著火罐直径两倍的范围内的液化石油气罐,均称为邻近罐。

邻近罐的冷却用水量,一般可按半个球面积进行计算。

口径19mm水枪,有效射程不小于15m(一般可按17m)时,每支水枪对邻近罐进行冷却时的控制面积可按30m2计算。由于战术和操作上的要求,当计算出来的水枪数量小于2支时,每个邻近球罐的冷却水枪数量,均应采用2支。当球形罐的直径较大,每个邻近液化气球罐的冷却使用水枪数量,超过6支时,仍可按6支计算。

不同直径的液化石油气罐,每个邻近罐需要的冷却使用的水枪数量,经计算如表2-6-34。

表2-6-34 每个邻近罐使用水枪数量

2.火场供水战斗车数量

液化石油气罐区的火场供水战斗车数量为著火罐冷却供水战斗车数和邻近罐冷却供水战斗车数的总和。

冷却液化气球罐的水枪喷嘴口径,一般采用19mm,当有效射程17m时,每支水枪的流量为7.5l/s,因此,每辆消防车能供应两支水枪用水。

根据著火罐的冷却使用水枪数量和邻近罐的冷却使用水枪数量,以及每辆供水战斗车供应两支水枪的要求,就可计算出火场供水战斗车数量。

根据防火规范要求,液化石油气球罐的布置不应超过二行,故邻近罐的数量一般不超过3个。

不同直径的液化气罐和有不同数量的邻近罐时,火场供水的战斗车数量如表2-6-35。

表2-6-35 液化石油气球罐区火场供水战斗车数

设有固定喷射冷却消防设备的球罐,在发生火灾后,仍需加强火场冷却用水,其火场供水战斗车数量,仅按著火罐计算。

随便看

 

文网收录3541549条中英文词条,其功能与新华字典、现代汉语词典、牛津高阶英汉词典等各类中英文词典类似,基本涵盖了全部常用中英文字词句的读音、释义及用法,是语言学习和写作的有利工具。

 

Copyright © 2004-2024 Ctoth.com All Rights Reserved
京ICP备2021023879号 更新时间:2026/4/17 18:42:24