火车转弯
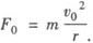
1.为什么转弯处外轨总高于内轨?因为火车的车轮上有突出的轮缘,如果转弯处内外轨一样高,则外侧铁轨对车轮施加的弹力F就是火车转弯的向心力,如图甲所示,由于 ,火车质量很大,则F很大,铁轨容易受到损坏,使转弯处的外轨略高于内轨,则可使火车所受的重力和支持力的合力提供向心力,从而减小以致消除火车车轮与铁轨之间的挤压. 2.实际修筑铁路时,如何确定内外轨的高度差h?设计原则是:根据转弯处的半径r(根据地形条件决定)和规定的行驶速度v0,适当选择内外轨的高度差h,使火车匀速转弯时所需的向心力完全由火车所受重力mg和支持力FN的合力F0来提供,如图乙所示,F0=mgtanθ.(θ为路基与水平面的夹角),方向沿水平方向指向圆心,火车在水平面内做圆周运动. 由牛顿第二定律得  以上两式联立得 . 一般情况下,θ很小,tanθ≈sinθ= (d为轨距).则  我国铁路转弯速率一般规定为v0=54km/h,即v0=15m/s,轨距d=1435mm,r是根据地形确定的,故由❶ 式就可确定内外轨的高度差h. (3)讨论: A.当火车恰以速度v0转弯时,所需向心力恰由重力和支持力的合力F0提供,火车车轮轮缘与内外轨均无侧压力,v0称为理想转弯速度. B.当火车转弯实际速度v>v0时,所需向心力大于重力和支持力的合力F0,外轨对轮缘提供侧压力,外轨易损坏. C.当火车转弯实际速度v0时,所需向心力小于重力和支持力的合力F0,内轨对轮缘提供侧压力,内轨易损坏. |