烟丙法宗
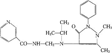
C21H25N5O2=379.46 CAS-15387-10-7 N-[(安替比林基异丙氨基)甲基]烟酰胺。 N-[(Antipyrinylisopropylamino)methyl]nicotinamide. N-[[(2,3-二氢-1,5-二甲基-3-氧代-2-苯基-1H-吡唑-4-基)(1-甲基乙基)氨基]甲基]-2-吡啶甲酰胺。 N-[[(2,3-Dihydro-1,5-dimethyl-3-oxo-2-phenyl-1Hpyrazol-4-yl)(1-methylethyl)amino]methyl]-3-pyridinecarboxamide. 消炎镇痛药。 理普法宗。 Niprofazone,Niapyrinum,Ravalgene,Ra 101. INN,USAN.  |