烟可奈德
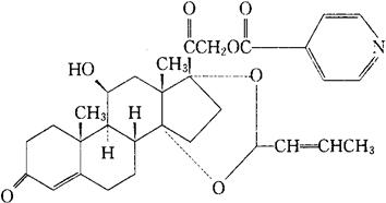
C31H37NO7=535.64 CAS-65415-41-0 11β,14,17,21-四羟孕甾-4-烯-3,20-二酮与巴豆醛生成环14,17-乙缩醛,21-异烟酸酯。 11β,14,17,21-Tetrahydroxypregn-4-ene-3,20-dionecyclic 14,17-acetal with crotonaldehyde,21-isonicotinate. 14,17-[2-丁烯亚基双(氧)]-11β-羟-21-[(4-吡啶羰基)氧]孕甾-4-烯-3,20-二酮。 14,17-[2-Butenylidenebis(oxy)]-11β-hydroxy-21-[(4-pyridinylcarbonyl)oxy]pregen-4-ene-3,20-dione. 肾上腺皮质激素类药,抗炎,抗过敏药。 烟酸可托松。 Nicocortonide. INN,USAN.  |