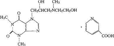
烟酸占替诺
C13H21N5O4·C6H5NO2=434.45 CAS-437-74-1 3-吡啶羧酸与3,7-二氢-7-[2-羟3-[(2-羟乙基)甲氨基]丙基]-1,3-二甲基-1H-嘌呤-2,6-二酮(1∶1)的化合物。 3-Pyridinecarboxylic acid compd.with 3,7-dihydro-7-[2-hydroxy-3-[(2-hydroxyethyl)methylamino]propyl]-1,3-dimethyl-1H-purine-2,6-dione(1∶1). 7-[2-羟-3-[(2-羟乙基)甲氨基]丙基]茶碱与烟酸(1∶1)的化合物。 7-[2-Hydroxy-3-[(2-hydroxyethyl)methylamino]propyl]theophylline,compound with nicotinic acid(1∶1). 血管扩张药。 烟胺羟丙茶碱,占替诺烟酸盐。 Xanthinol Nicotinate,Xanthinol Niacinate,Xantinol Nacotinate,Complamin. INN(Xantinol Nicotinate),BAN(Xanthinol Nicotinate),DCF,DCTT,GDP,NFN,USAN,MI.  |