网站首页  词典首页

请输入您要查询的字词:

 

字词 烧碱蒸煮液的制备计算实例
类别 中英文字词句释义及详细解析
释义 烧碱蒸煮液的制备计算实例

1.液体烧碱相对密度与浓度的相互换算

【说明】液体烧碱的相对密度和浓度之间的关系可用下式进行估算。

【公式】

3.氢氧化钠溶液相对密度与浓度间的关系

【说明】 参见表1-2-9。

表1-2-9 NaOH溶液相对密度与浓度间的关系

4.氢氧化钠溶液百分浓度、当量浓度及体积浓度间的关系

【说明】 参见表1-2-10

5.液体烧碱的准确计量计算

【例】 有一液体烧碱计量罐的体积为5.5m3,计量标尺共分25个大格,每大格又分成10个小格,经化验分析该批液碱NaOH含量为42%,根据蒸煮工艺要求每球加入碱量为204kg,试求计量缸应加入多少格的液体碱?

解:每一大格液体碱的体积为:=0.22(m3)

查表1-2-10知,42%Na()H溶液含量为608.8g/L或608.8kg/m3,则每格含NaOH的量为:

表1-2-10 NaOH溶液重量百分浓度、当量浓度和体积浓度间的关系

每球加入量为:

6.烧碱用量和稀释用水量的计算

【例】某厂用烧碱法蒸煮稻草,装锅量为4000kg,稻草水分为12%,用碱量为11%(Na2O计),液比1∶2.8,如碱液浓度为400g/L,求(1)碱液用量为多少?(1)需用多少水量稀释碱液?

解:(1)绝干稻草装锅量=4000×(1-12%)=3520(kg)

稻草含水量=4000×12%=480(kg)

用碱量=3520×11%=387.2(kg)(Na2O计)

=387.2×=387.2×1.29=499.5(kg)

碱液用量==1.249(m3)

(2)蒸煮总液量=3500×2.8=9.856(m3)

稀释碱液用水量=总液量—碱液量—原料含水量

=9.856—1.249—0.48

=8.127(m3)

7.蒸煮碱液量的计算

【例】蒸煮装绝干原料为3t,原料含水分为15%,液比为1∶2.5,计算由配碱站送到蒸煮工段的碱液量?

解:原料中含水分=3×15%=0.45(m3)

蒸煮总液量=3×2.5=7.5(m3)

由配碱站送到蒸煮工段的碱液量为:

7.5-0.45=7.05(m3)

8.液体碱的贮备量的计算

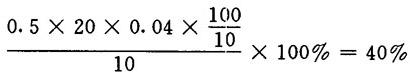
【例】某厂用14m3蒸球,用烧碱法蒸煮麦草,每日蒸煮5球原料,每球装绝干草2000kg,用碱量为10%(Na2O计),已知在测定液体烧碱中活性碱含量时,称取试样10g,稀释至100mL,然后从中吸取10mI于锥形瓶中,加10%BaC12溶液10mI,酚酞指示剂2~3滴,以0.5N标准盐酸溶液滴定至终点,消耗0.5NHCI标准溶液20mL,求每日至少应准备这样的液体碱多少千克、计多少立方米?

解:每球活性碱用量为:

5球共需NaOH的量为:

烧碱的浓度为:

应备40%的烧碱为:

查表1-2-10知,40%的NaOH其体积浓度为572g/L,故应背药液的体积为:

随便看

 

文网收录3541549条中英文词条,其功能与新华字典、现代汉语词典、牛津高阶英汉词典等各类中英文词典类似,基本涵盖了全部常用中英文字词句的读音、释义及用法,是语言学习和写作的有利工具。

 

Copyright © 2004-2024 Ctoth.com All Rights Reserved
京ICP备2021023879号 更新时间:2025/10/17 16:09:14