烷烃、烯烃、炔烃、苯的同系物含碳质量分数的变化规律
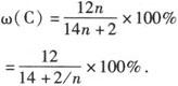
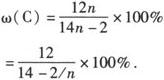
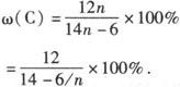
1.烷烃:通式:CnH2n+2(n≥1)  当n=1时,ω(C)最小为75%,随n值增大,ω(C)逐渐增大 当n→∞是,ω(C)最大为85.7%. 2.烯烃:通式CnH2n(n≥2) 是一常数,与n无关. 3.炔烃:通式CnH2n—2(n≥2)  当n=2时,ω(C)最大为92.3%,随n值增大,ω(C)逐渐减小. 当n→∞时,ω(C)最小为85.7%. 4.苯的同系物:通式CnH2n—6(n≥6)  当n=6时,ω(C)最大为92.3%,随n值增大,ω(C)逐渐减小. 当n→∞时,ω(C)最小为85.7%. |