牛胆酸钠[中]
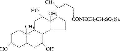
C26H44NNaO7S=537.68 2-[(3α,7α,12α-三羟-24-氧代-5β-胆烷-24-基)氨基]乙烷磺酸钠。 2-[(3α,7α,12α-Trihydroxy-24-oxo-5β-cholan-24-y1)amino]ethanesulfonic acid sodium salt. 利胆药。用于胆汁缺乏、肠道消化不良及胆囊炎等。胆酸钠,胆盐,牛磺胆酸钠。 Sodium Taurocholate, Sodium Tauroglycocholate,Bile Salt. 胆酸钠片,胆酸钠胶囊。 MI. 
|