网站首页  词典首页

请输入您要查询的字词:

 

字词 牛舌头
类别 中英文字词句释义及详细解析
释义 牛舌头

【概况】:

异名 苦荬菜、北败酱(《中国药典1977年版》)。

基源 为菊科苦苣菜属裂叶苦荬菜的全草。

原植物 裂叶苦荬菜Sonchus arvensis L.

形态 一年生至二年生草本,高50~100cm,有乳汁。茎直立,基部无毛。

叶长椭圆状披针形,长15~28cm,宽2~6cm,羽裂或提琴状羽裂,边缘具较稀不整齐的短刺状尖齿,基生叶有短柄,茎生叶基部抱茎,有1宽大尖锐的耳。头状花序,排成疏松伞房花序式的短圆锥花序;梗和总苞下部初期有蛛丝状毛;总苞钟状,长10~15cm,宽6~10(-25)mm;总苞片2~3层,内层裂片条状披针形,具疏生长毛;花全部舌状,两性,舌片长约0.5cm,宽0.5mm,结实。瘦果倒卵状椭圆形,扁平,每面除有3条明显纵脉纹外,并具有粗糙横纹,成熟后红褐色,冠毛白色,极多,柔弱。

生境与分布 生长于路边、山沟、山野等处,分布于江苏、浙江、江西、湖北、广东、四川、云南。

。【生药】:

采集 春秋二季花开前采收,除去杂质,晒干。

鉴别 根茎细长圆柱形,向下渐细,长3~10cm,直径2~5mm,表面淡黄棕色,有纵皱纹,上部有近环状突起的叶痕,下部留有细根或细根痕。叶卷缩或破碎,完整者长圆披针形或广披针形,长4~16cm,宽0.5~3.5cm,先端多圆钝或短尖,有小尖刺,基部渐窄成柄,叶缘具稀疏的缺刻或不整齐羽状分裂,或不分裂,边缘有小尖齿,上面灰绿色;幼叶表面密被毛茸。气微,味微咸。以叶多、色绿、无花者为佳。

贮藏 置通风干燥处。

【化学】:

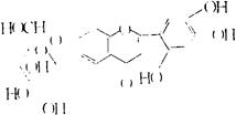
含甘露醇(Mannito1)、黄酮类,有槲皮素(Quercetin)、异鼠李素(Isorhamnetin)、金葎草素(Chrysoerio1)、异鼠李素3β-D-葡萄糖甙(Isorhamnetin 3β-D-glucoside)和槲皮素-7β-D-吡喃葡萄糖甙(Quercetin-7β-D-glucopyranoside),以及三个脂类物质,1,2-Dilinolenyl-3-0-β-D-galactopyranosyl-sn-glycerol、1,2-Dilinolenyl-3-O-(α-D-galactopyranosyl-(1→6)-0-β-D-galactopyranosyl-sn-glycerol和l-Linolengl-3-0-β-D-galactopyransyl-sn-glycerol[1,2,3]。

花中分出新的黄酮葡萄糖甙(Flavonoid glycoside,Sonchoside)(Ⅰ)[4]

茎叶中含黄酮类,主要有木犀草素-7-葡萄糖甙、木犀草素-7葡萄糖醛酸化物(Luteolin-7-glucuronide)、芹黄素-7-葡萄糖醛酸化物(Apigenin-7-glucuronide);另含香豆素类,有马栗树皮素(Aetsculetin)和少量东莨菪素(Scopoletin)[5]

叶中含木犀草素-7-葡萄糖甙(Luteolin-7-glucoside)和蒙花甙(Linarin)[6]

参考文献 [1]植物药有效成分手册,人民卫生出版社,1986∶697 [2]CA 1977;86∶86101u [3]Phytochemistry 1983;22(8)∶1741 [4]CA 1978;89∶143361s [5]Phytochemistry 1983;22(2)∶489 [6]CA 1978;88∶186099j

【药性】:

性味 苦,寒。

功效 清湿热,消肿排脓,化瘀解毒。

主治 阑尾炎,肠炎,痢疾,疮疖痈肿,产后瘀血腹痛,痔疮。

用法用量 外用:鲜品适量,捣烂敷患处;煎汤熏洗痔疮,9~15g。

随便看

 

文网收录3541549条中英文词条,其功能与新华字典、现代汉语词典、牛津高阶英汉词典等各类中英文词典类似,基本涵盖了全部常用中英文字词句的读音、释义及用法,是语言学习和写作的有利工具。

 

Copyright © 2004-2024 Ctoth.com All Rights Reserved
京ICP备2021023879号 更新时间:2025/10/17 20:45:36