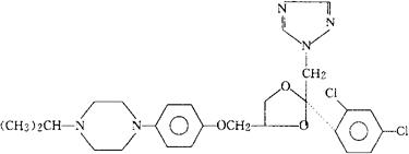
特康唑
C26H31Cl2N5O3=532.47 CAS-67915-31-5 顺-1-[4-[[2-(2,4-二氯苯基)-2-(1H-1,2,4-三唑-1-基甲基)-1,3-二氧戊环-4-基]甲氧]苯基]-4-(1-甲基乙基)-哌嗪。 Piperazine,1-[4-[[2-(2,4-dichlorophenyl)-2-(1H-1,2,4-triazol-1-ylmethyl)-1,3-dioxolan-4-yl]methoxy]-phenyl]-4-(1-methylethyl)-,cis-. 顺-1-[对-[[2-(2,4-二氯苯基)-2-(1H-1,2,4-三唑-1-基甲基)-1,3-二氧戊环-4-基]甲氧]苯基]-4-异丙基哌嗪。 cis-1-[p-[[2-(2,4-Dichlorophenyl)-2-(1H-1,2,4-triazol-1-ylmethyl)-1,3-dioxolan-4-yl]methoxy]phenyl]-4-isopropylpiperazine. 抗真菌药。 Terconazole,Terazol Cream & Suppositories,R-42,470 Triaconazole,Fungistat,Gyno-Terazol,Tercospor. INN,BAN,DCF,DCIT,USAN. 
|