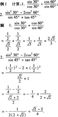
特殊角的三角函数值
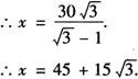
  例2 △ABC中,如果cosA是方程2x2-5x+2=0的一个根,则∠A等于( ). A.60° B.30° C.45° D.90° 答 A. [解析] 由题意可得2cos2A-5cosA+2=0,  故选A. 例3 已知△ABC中,(sinA-1/2)2+| . 则∠C=__. 答 120° [解析] 由非负数性质可知  ∴∠A=30°,∠B=30°,∠C=120°. 例4 在△ABC中,∠C是最大的角,且|sin2A-1/2|+(2cos2B-1)2=0,试判定△ABC的形状.  ∴∠A=∠B=45°.∴∠C=90°. ∴△ABC为等腰直角三角形. 例5 在地面上一点D,测得一电视塔尖A的仰角∠ADB为45°,沿水平方向向塔底前进30m,又测得塔尖的仰角∠ACB=60°.求电视塔高.(结果保留根号)  解 在Rt△ABD中,∠D=45°, ∴AB=BD. 设电视塔高AB=xm, 则BD=x米.∵DC=30m, ∴CB=(x-30)m.   答 电视塔高(45+15 )m. |