网站首页  词典首页

请输入您要查询的字词:

 

字词 猪脱氧胆酸[典]
类别 中英文字词句释义及详细解析
释义 猪脱氧胆酸[典]

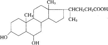
C24H40()4=392.58

CAS-83-49-8

3α,6α-二羟基-5β-胆烷酸。

3α,6α-Dihydroxy-5β-cholanic acid.

降血脂药。降低血中胆固醇,用于高血脂症。

异去氧胆酸。

Hyodesoxycholic Acid,Hyodeoxycholic Acid.

猪脱氧胆酸片。

MI.

随便看

 

文网收录3541549条中英文词条,其功能与新华字典、现代汉语词典、牛津高阶英汉词典等各类中英文词典类似,基本涵盖了全部常用中英文字词句的读音、释义及用法,是语言学习和写作的有利工具。

 

Copyright © 2004-2024 Ctoth.com All Rights Reserved
京ICP备2021023879号 更新时间:2025/10/17 16:53:45