网站首页  词典首页

请输入您要查询的字词:

 

字词 猫儿眼睛
类别 中英文字词句释义及详细解析
释义 猫儿眼睛

【概况】:

异名 头状蓼、尼泊尔蓼(《新华本草纲要》)。

基源 为蓼科蓼属植物山谷蓼的全草。

原植物 尼泊尔蓼Polygonum alatum Buch.-Ham.ex D.Don[P.nepalense Meissn.;Persicaria alata(Buch.-Ham.ex D.Don)Nakai]

形态 一年生草本,茎多分枝,细弱上升,高10~35cm,常为红色,节上有毛。叶互生;叶片卵形或三角状卵形,长1.5~4.5cm,宽1~3cm,先端渐尖或急尖,基部截形或圆形,沿叶柄下延成翅状或耳垂形抱茎,边缘微波状,上面无毛,下面常密生黄色腺点,上部叶近无柄;托叶鞘筒状,斜截形,长0.5~1.0cm,淡褐色。头状花序顶生或腋生,下面具有叶状总苞,总苞茎部及总花梗上均被腺毛;苞片卵状椭圆形,长2~4mm,内有1花;花被淡紫色或白色,4裂,长2~3mm;雄蕊5~6枚,花药黑紫色;花柱细长,上部2裂,柱头头状。

瘦果圆卵形,双凸镜状,直径约2mm,顶端微尖,熟时有线纹及凹点,黑褐色,包藏在宿存花被内。花果期4~11月。(图见《浙江植物志》.第2卷.154页.图2~202)

生境与分布 生于海拔高达1400m湿地、沟边、茶地及山顶路边草丛中,有时亦可生在潮湿岩石上。分布于中国东北、华北、西北、华东、华中至西南。日本、朝鲜、菲律宾、印度、尼泊尔、原苏联中亚地区及非洲。

。【生药】:

采集 春、夏季采收全草,晒干。

【化学】:

从全草中分得5,4′-二甲氧基-6,7-亚甲二氧基黄烷酮(5,4′-Dirnethoxy-6,7-methylenedioxyflavanone)、5,6,7,2′,3′,4′,5′-七甲氧基黄烷酮(5,6,7,2′,3′,4′,5′-Heptamethoxyflavanone)、5,6,7,4′-四甲氧基黄烷酮(5,6,7,4′-Tetramethoxvflava none)、谷甾醇及蒲公英赛酮[1]

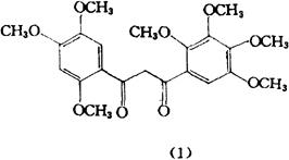
全草中分得新的七甲氧基二酮化合物:3′,4′,6′,2”,3″,4′′,5″-七甲氧基-1,3-二酮查耳酮(1)[3′,4′,6′,2″,3″,4″,5”-Heptamethoxy-1,3-dikitochalcone]及已知化合物槲皮素-3-O-鼠李二糖甙、金丝桃甙、木犀草素-6-C葡萄糖甙和β-谷甾醇葡萄糖甙[2]

参考文献 [1] CA 1987;106∶15723u [2] J Nat Prod 1987;50(3)∶357

【药性】:

性味 ❶ 《全国中草药汇编》:“酸、涩,平。”
❷ 《中药大辞典》:“苦,寒。”

功效 清热解毒,收敛固肠。

主治 喉痛,目赤,牙龈肿痛,赤痢,白痢,大便失常,关节疼痛。

用法用量 内服:煎汤,10~26g。

。【临床应用】:

单方应用 《全国中草药汇编》:“治红白痢疾,关节疼痛:猫儿眼睛9~12g,水煎服。”

随便看

 

文网收录3541549条中英文词条,其功能与新华字典、现代汉语词典、牛津高阶英汉词典等各类中英文词典类似,基本涵盖了全部常用中英文字词句的读音、释义及用法,是语言学习和写作的有利工具。

 

Copyright © 2004-2024 Ctoth.com All Rights Reserved
京ICP备2021023879号 更新时间:2025/10/18 11:54:33