网站首页  词典首页

请输入您要查询的字词:

 

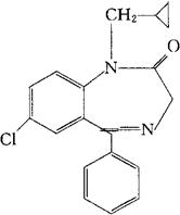
字词 环丙安定
类别 中英文字词句释义及详细解析
释义 环丙安定

C19H17ClN2O=324.81

CAS-2955-38-6

7-氯-1-环丙甲基-1,3-二氢-5-苯基-2H-1,4-苯并二氮杂-2-酮。

7-Chloro-1-cyclopropylmethyl-1,3-dihydro-5-phenyl-2H-1,4-benzodiazepin-2-one.

镇静药。

普拉西泮。

Prarepam,Reapam,Centrax,Sedapran,Versfran.

INN,BAN,DCIT,JAN,NFN,USAN,USP,MI.

随便看

 

文网收录3541549条中英文词条,其功能与新华字典、现代汉语词典、牛津高阶英汉词典等各类中英文词典类似,基本涵盖了全部常用中英文字词句的读音、释义及用法,是语言学习和写作的有利工具。

 

Copyright © 2004-2024 Ctoth.com All Rights Reserved
京ICP备2021023879号 更新时间:2026/4/20 20:25:38