网站首页  词典首页

请输入您要查询的字词:

 

字词 环比指数
类别 中英文字词句释义及详细解析
释义 环比指数

各期均以其前一时期为基期所编制的经济指数,说明某一社会经济现象逐期的变动程度和变动趋势。

环比指数通常按年、季、月编制。环比指数可以是个体指数,或总指数。

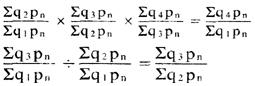
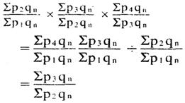
个体环比指数连乘等于定基指数。环比加权总指数,由于包括著权数的因素,只有在采用同一固定基期权数的条件下,环比总指数连乘积才等于定基总指数。现以价格和物量总指数为例,将其关系用公式表述如下:

价格环比与定基总指数关系:

物量环比与定基总指数关系:

随便看

 

文网收录3541549条中英文词条,其功能与新华字典、现代汉语词典、牛津高阶英汉词典等各类中英文词典类似,基本涵盖了全部常用中英文字词句的读音、释义及用法,是语言学习和写作的有利工具。

 

Copyright © 2004-2024 Ctoth.com All Rights Reserved
京ICP备2021023879号 更新时间:2025/10/18 18:25:17