网站首页  词典首页

请输入您要查询的字词:

 

字词 环氧—酚醛胶粘剂
类别 中英文字词句释义及详细解析
释义 环氧—酚醛胶粘剂

利用酚醛树脂的粘接力和耐热性,进行环氧树脂的改性。在环氧胶组分中加入耐热性较好的,并能与环氧树脂生成高交联度的酚醛树脂,可使环氧树脂胶的工作温度大大提高。用于改性环氧树脂胶的酚醛树脂多为弱碱性催化剂所制得的树脂,如氨酚醛树脂、钡酚醛树脂。这类树脂含有很多活性的羟甲基,能与环氧树脂的环氧基和羟基反应,得到一个高度交联的固化体系。

环氧—酚醛胶粘剂可在短时间内耐260℃的高温,能在177℃下连续使用,但在204℃以上连续使用时,由于氧化作用使粘接强度显著下降。若在胶粘剂中加入五硫化砷或三聚氰胺作交联剂,可进一步提高耐热性。

这类胶粘剂比酚醛树脂柔软,但也相当硬,剥离强度较低,为了用于蜂窝结构体的粘合,必须添加少量的聚乙烯醇缩甲醛或丁腈橡胶,以增加塑性。

环氧—酚醛胶粘剂一般以玻璃布作为载体,浸渍液状胶粘剂后制成胶带状使用。也有制成单组分的糊剂。在施胶之后,须在室温或稍经加热下除去糊剂中所含的溶剂。固化温度通常为163~167℃,也可在93~97℃左右的较低温度中固化。

这种胶粘剂在固化时有挥发性物质产生,而形成多孔质的结合,对被粘物的缝隙起填充作用,故用于粘接间隙较大的物件是较有效的。

环氧—酚醛树脂的配方举例如下:

E-42环氧树脂 100(重量份)

氨酚醛树脂 22.5~50

间苯二酚* 7.5~10

*:间苯二酚为环氧树脂与酚醛树脂的交联剂。

固化条件:配制好的胶液涂刷在预热的被粘物表面,在80℃烘箱中加热30min使胶预固化,并排除产生的水分。然后进行粘合,加以0.3~0.5MPa的压力,放入烘箱升温固化。升温方式为:105℃下预热1h,然后1h内由105℃升至150℃,于150℃保温10h,最后自然冷却而成。

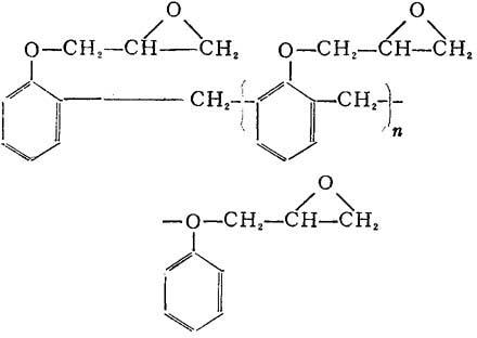
利用环氧树脂优点的粘接强度,和酚醛树脂的耐热性特点的另一办法,是使分子中兼具酚醛树脂和环氧树脂的基本结构,而成为新型的环氧树脂,国产F-44和F-46(原牌号644及648)就是这种酚醛环氧树脂,其结构为:

这种线形树脂与一般环氧树脂相似,可在固化剂作用下交联成体形结构。用这种树脂配制的胶粘剂如KH-509胶。配方:

F-44酚醛环氧树脂 100(重量份)

647酸酐 80~100

二氧化钛(200目) 50

玻璃粉(200目) 50

固化条件:150℃加热固化3h,或150℃加热1h后于200℃加热2h。

环氧树脂使用酚醛树脂改性之后,其耐热性有明显的提高。但也带来一些问题,如胶的固化时间延长,而且胶的性能也具有类似酚醛树脂的脆性。所以在受冲击或剥离力的情况下不适宜使用。

随便看

 

文网收录3541549条中英文词条,其功能与新华字典、现代汉语词典、牛津高阶英汉词典等各类中英文词典类似,基本涵盖了全部常用中英文字词句的读音、释义及用法,是语言学习和写作的有利工具。

 

Copyright © 2004-2024 Ctoth.com All Rights Reserved
京ICP备2021023879号 更新时间:2026/5/31 22:19:26