网站首页  词典首页

请输入您要查询的字词:

 

字词 珠子参
类别 中英文字词句释义及详细解析
释义 珠子参

【概况】:

异名 疙瘩七、珠儿参(云南),钮子七(陕西、甘肃、四川),扣子七(四川、湖北、西藏)。

基源 为五加科人参属植物珠子参的根状茎。

原植物 珠子参Panax japonicus C.A.Mey.var.major(Burk.)C.Y.Wu et K.M.Feng[P.major(Burk.)Ting]

历史 珠子参原名珠参,载于《纲目拾遗》,赵学敏谓:“按珠参本非参类,前未闻有此,近年始行,然南中用之绝少,或云来自粤西,是三七子,又云草根;”又引《书影丛说》所载:“云南姚安府亦产人参,其形扁而圆,谓之珠儿参,”与今珠子参药材外形及产地相符。另外,《植物名实图考》也载有珠子参,据何景等《中国植物志》(五加科)考证其为桔梗科党参属植物Codonopsis forrestii Diels,与本品无关。

形态 多年生草本,高50~80cm。

根状茎细长横卧,节结膨大成珠状或圆球状纺锤形。茎直立,光滑,有纵条纹。掌状复叶3~5,轮生于茎顶,叶柄细长,长6~9cm;小叶通常5片;小叶柄长5~15mm,中央小叶片较大,椭圆形或椭圆状卵形,长10~13cm,宽5~7cm,先端长渐尖,基部近圆形或楔形,边缘有细密锯齿或重锯齿,边缘及两面散生刺毛。伞形花序单一,偶有少数分枝;花萼具5齿,先端尖;花瓣5,卵状三角形,先端尖;雄蕊5;子房下位,花柱通常2,分离。

核果浆果状,圆球形,熟时鲜红色。花期7~8月。(图见《中药志》.第2版.第1册.22页.图15)

生境与分布 生于中山或高山竹林下或沟谷阴湿地。分布于陕西、甘肃、宁夏、河南、湖北、四川、贵州、云南、西藏等地。

。【生药】:

采集 秋季采挖根茎,除去外皮及细根,干燥,或蒸(煮)透后干燥。

用时打碎。药材主产于云南丽江、迪庆、怒江、大丽、楚雄、昭通;此外,甘肃、陕西、四川、湖北、贵州等地也产。

鉴别

性状 根茎节膨大部类球形、扁球形或不规则菱角形,直径1~2.5cm,有的一侧或两侧残存细的节间;表面黄棕色或棕褐色,粗糙,有明显的纵皱纹,中部有略呈环列的疣状突起及细根痕,有的可见略凹陷的茎痕。

质坚硬,不易折断,切断面黄白色,粉性,有黄色分泌道斑点。

蒸煮者淡红棕色,半透明,角质。气微,味苦、微甜。

显微 根茎节膨大部横切面:木栓层为5~10层细胞。皮层稍窄,有分泌道,呈圆形或长圆形,直径32~500μm,切向约至600μm,周围分泌细胞5~18。

维管束外韧型,环状排列,束间形成层断续可见,射线宽。韧皮部有分泌道,较小;木质部束大多呈1~2股性放射状排列,导管类多角型,直径约至76μm。中央有髓。本品薄壁细胞中含草酸钙簇晶,直径20~96μm;并含淀粉粒。

(图见《中药志》.第1册.第2版.23页.图16)

理化 ❶ 总皂甙的薄层层析:取样品粉末2g,加甲醇25ml,放置过滤,加热回流6小时,放冷,过滤,取滤液12.5ml,蒸干,溶于15ml水中,用乙醚提取2~3次,醚液弃去,水层再用水饱和正丁醇提取4次,合并正丁醇液,用水洗2~3次,最后将正丁醇液减压回收至干,即纯化总皂甙,溶于甲醇2ml中,取10ml点于硅胶G板上,以正丁醇-乙酸乙酯-水(4∶1∶5)上层液为展开剂,展距11cm,喷硫酸-水(1∶1)液,105℃烤10分钟,在紫外灯下检视,可见4个以上斑点。(图见《中药志》.第1册.第2版.20页.图13)❷ 总甙元的薄层层析:取总皂甙(相当于1g样品),加5%硫酸的乙醇-水(1∶3)溶液10ml,加热回流4小时,用氯仿振摇提取3次,合并氯仿液,以水振摇洗涤后,用无水硫酸钠脱水,过滤,氯仿液蒸干,加甲醇1ml溶解,取10μl点于硅胶G板上,以人参三醇、人参二醇、齐墩果酸为对照,以氯仿-乙醚(1∶1)为展开剂,展距11.8cm,喷硫酸-水(1∶1)后105℃烤10分钟,在紫外灯下检视,可见5个以上斑点,其中3个斑点分别与人参三醇、人参二醇、齐墩果酸相对应。(图见同上.23页.图17)

贮藏 置阴凉干燥处,防蛀。。【化学】:

含挥发油、糖类[1]

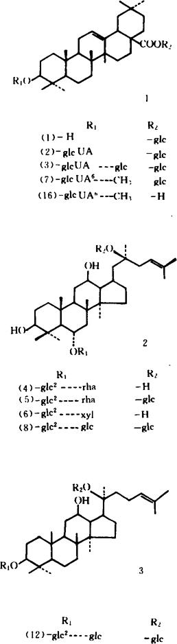
从陕西、云南、四川等地产的珠子参根茎中分得多种齐墩果烷型和达玛烷型皂甙(见表),其中竹节参甙IVa甲酯[Chikusetsusaponin IVa methyl ester],即齐墩果酸-(3-O-β-D-葡萄吡喃糖醛酸甲酯)-28-O-β-D-葡萄吡喃糖甙、Sap-1[齐墩果酸-3-()-β-D-(6′-甲酯)-吡喃葡萄糖醛酸甙]和Sap-5{3-O[β-D-吡喃葡萄糖(1→2)-β-D-吡喃葡萄糖]-齐墩果酸-28-O-β-D-吡喃葡萄糖甙}为新化合物[2~7]。尚含齐墩果酸、β-谷甾醇和丁二酸[11]

表 不同产地珠子参根茎中含的皂甙成分

注:√表示含有此成分,但未报道含量。

-表示未见报道含有此种成分。

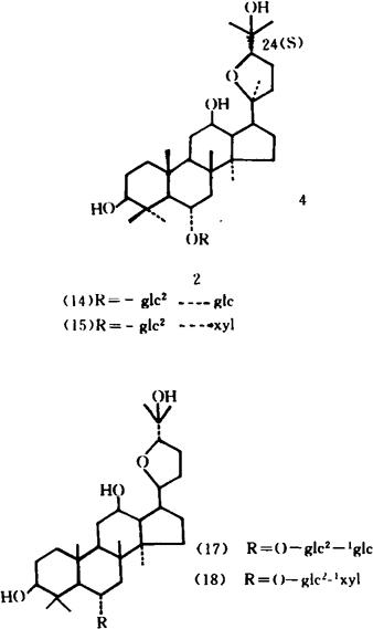
附 珠子参叶中含人参甙(Ginsenoside)Rd、Rb3、Rb1、Rc、Re、Rg1、Rg2和F2以及8个珠子参甙(Majoroside),即珠子参甙F1、F2、F3、F4、F5、F6和R1、R2,均为达玛烷型的三萜皂甙。珠子参甙F1为达玛-25(26)-烯-3β,12β,20(S),24β-四醇-(20-O-β-D-葡萄吡喃糖基)-3-O-β-D-葡萄吡喃糖基(1→2)-β-D-葡萄吡喃糖甙;珠子参甙F2为达玛-25(26)-烯-3β,12β,20(S),24α-四醇-(20-O-β-D-葡萄吡喃糖基)-3-O-β-D-葡萄吡喃糖甙;珠子参甙F3为达玛-23(24)-烯-3β,12β,20(S),22(α或β)-四醇-(20-O-β-D-葡萄吡喃糖基)-3-O-β-D-葡萄吡喃糖甙;珠子参甙F4为达玛-23(24)-烯-3β,12β,20(S),25-四醇-(20-O-β-D-葡萄吡喃糖基)-3-O-β-D-葡萄吡喃糖甙;珠子参甙F5为达玛-22(23)-烯-3β,6α,12β,20(S),24§-五羟基-(20-O-β-D-吡喃葡萄糖基)-6-O-α-L-吡喃鼠李糖基(1→2)-β-D-吡喃葡萄糖甙;珠子参F6为达玛-23(24)-烯-3β,6α,12β,20(S),25-五羟基-(20-O-β-D-吡喃葡萄糖基)-6-O-α-L-吡喃鼠李糖基(1→2)-β-D-吡喃葡萄糖甙。

珠子参甙(Majoroside)R1(17)和R2(18)的结构见上页[8~10]

参考文献 [1] 中药志.第1册.第2版.人民卫生出版社,1979∶21 [2] 植物学报 1988;30(4)∶403 [3] Chem Pharm Bull 1982;30(12)∶4341 [4] 中草药 1988;19(9)∶386 [5] 中草药 1987;18(8)∶346 [6] 华西药学杂志 1986;1(3)∶178 [7] 华西药学杂志 1992;7(1)∶49 [8] 云南植物研究 1984;6(1)∶118 [9] 药学学报 1989;24(8)∶633 [10] 云南植物研究 1987;9(4)∶477 [11] 华西药学杂志 1991;6(4)∶220。

【药理】:

❶ 镇痛、镇静作用 珠子参总皂甙对热刺激(热板法)和化学刺激(醋酸)引起的疼痛均有镇痛作用。

在热板法中,小鼠ip小剂量时(25mg/kg),镇痛作用不明显,50mg/kg时,已有显著的镇痛作用(p<0.01),剂量达100mg/kg时,镇痛作用非常显著(p<0.001)。在醋酸扭体实验中,作用与热板法类似,小鼠ig 50mg/kg、100mg/kg、150mg/kg 3个不同剂量时,扭体抑制率分别为40.6%、58.65%和77.07%。镇痛作用随剂量增加而增强,有明显的量效关系。爬竿法试验,小鼠ip珠子参总皂甙25mg/kg、100mg/kg、150mg/kg,观察给药后的爬竿情况,结果与生理盐水对照比较,150mg/kg组从30min到60min均有明显差别,p<0.05。

珠子参总皂甙与镇静催眠药戊巴比妥钠、硫喷妥钠之间有协同作用,能延长镇静催眠药的睡眠时间(p<0.01),但对翻正反射消失时间无明显影响(p>0.05)[1]
❷ 其它 珠子参根茎总皂甙有与人参皂甙类型的免疫作用,能提高小鼠血中碳廓清率和激活腹腔巨噬细胞的吞噬活性,具有“扶正固本”的作用,且毒性低,刺激性及溶血作用均很弱。

总皂甙对白细胞介素2(IL-2)的作用表明,具有镇痛、消炎作用,免疫作用却不明显。药理实验还表明总皂甙具有抗心律不齐作用[2]

珠子参叶中成分珠子参甙F1可抑制沙土鼠在高氧条件下急性前脑缺血再灌流后脑组织MDA(丙二醛)含量的升高(p<0.01)[3]

参考文献 [1] 华西药学杂志 1993;8(2)∶90 [2] 华西药学杂志 1992;7(1)∶49 [3] 云南中医杂志 1991;12(6)∶32。【药性】:

性味 苦,甘,寒。

❶ 《本草从新》:“苦、寒,微甘。”
❷ 《药材资料汇编》:“味略苦,带涩,微寒。”
❸ 《四川中药志》:“苦,平,微甘。”

归经 《四川中药志》:“入肝,胃二经。”

功效 养阴,清肺,散瘀,止血,定痛。

主治 热病烦渴,阴虚咳嗽,劳伤吐血,鼻衄,咽痛,风湿性关节炎,小儿惊风,跌打损伤。

❶ 《本草从新》:“补肺,降火。肺热者宜之。


❷ 《救生苦海》:“血症用之,可代三七。”
❸ 《药性考》:“能托里,外症堪用。”
❹ 《中药形性经验鉴别法》:“滋补强壮,止血生肌。”
❺ 《四川中药志》:“散瘀,止血,定痛。治跌打损伤,劳伤吐血,崩中下血。”
❻ 《本草推陈》:“治阴虚血热及热病阴伤,烦渴,咳嗽,咽痛,齿痛。”
❼ 《陕西中草药》:“镇惊息风,除风湿,理气健胃,止痛。止小儿惊风,风湿性关节炎,胃痛,肿毒恶疮。

用法用量 内服:煎汤,6~9g;研末入丸、散或泡酒。外用:研末调敷。

随便看

 

文网收录3541549条中英文词条,其功能与新华字典、现代汉语词典、牛津高阶英汉词典等各类中英文词典类似,基本涵盖了全部常用中英文字词句的读音、释义及用法,是语言学习和写作的有利工具。

 

Copyright © 2004-2024 Ctoth.com All Rights Reserved
京ICP备2021023879号 更新时间:2025/10/18 15:47:53