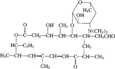
瑞普米星
C31H51NO8=565.75 CAS-56689-42-0 12,13-去环氧-12,13-二去氧-4′-去氧-卷须霉素A1。 12,13-Deepoxy-12,13-didehydro-4′-deoxy-cirramycin A1. 16-乙基-4-羟-5,9,13,15-四甲基-2,10-二氧代-6-[[3,4,6-三去氧-3-(二甲氨基)-β-D-木-吡喃己糖基]氧]氧杂环十六碳-11,13-二烯7-乙醛。 16-Ethyl-4-hydroxy-5,9,13,15-tetramethyl-2.10-dioxo-6-[-[3,4,6-trideoxy-3-(dimethylamino)-β-Dxylo-hexopyranosyl]oxy]oxacyclohexadeca-11,13-diene-7-acetaldehyde. 抗生素类药,抗菌药。 Repromicin,Sch 16524,Antibiotic Sch 16524,M 4365G,Antibiotic M 4365 G. INN,USAN.  |