瓦尔拉斯-瓦尔德模型
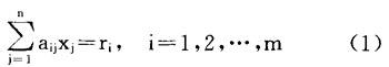
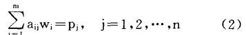
瓦尔拉斯最先构造一个国民经济的一般均衡模型,后经卡塞尔(Cassel)改造,而瓦尔德首次给出均衡解存在性的严格证明。 该模型考虑一国国民经济有n种最终产品和m种本原的生产要素。假定生产一单位第j种产品所必须的第i种生产要素的投入量为aij,用xj记第j种产品的总需求量,ri记第i种生产要素的可能供给量。由于对第i种生产要素的总需求量为#ajxj,故生产要素的需求与供给的均衡关系可由m个方程式表示为:  其次,设各生产要素的价格为w1,…,wm,各种产品的价格为p1,…,pn,则第j种产品的价格应等于它的成本,故有n个均衡关系  对第j种产品的需求是价格p和w的函数,对第i种生产要素的供给也是p和w的函数,从而又有均衡关系: ri=ri(p1,…,pn;w1,…,wm),i=1,2,…,m (3) xj=xj(p1,…,pn;w1,…,wm),j=1,2,…,n (4) 从(1)到(4)共有2m+2n个方程,它们就是瓦尔拉斯关于生产的一般均衡模型。虽然瓦尔拉斯研究过这个模型均衡解的存在性,但要严格证明却遇上困难。首先,在方程组(1)中,如果n≧m,则(1)有解,但如果n<m,则除特殊情形外(1)是没有解的。其次,即使(1)和(2)有解也不能保证解为非负的(当解中出现负数时就没有经济意义)。 为了克服这些困难,卡塞尔把瓦尔拉斯模型改造成如下形式  pj=fj(x1,…,xm) j=1,2,…,m (8) ri=ri(常数),i=1,2,…,m (9) pj≧0,xj≧0,j=1,2,…,m (10) wi≧0 i=1,2,…,m 其中,(5)可解释为生产要素的需求量不得超过供给量,(6)可解释为当第i种生产要素出现供大于求时它的价格为零,(8)是产品的反需求函数,(9)是为了讨论简单而假设要素供给量为常数。 瓦尔德对瓦尔拉斯-卡塞尔模型(5)到(10)作出一些假设,然后用数学严格证明这个模型存在惟一的均衡解(p1,…,pn;x1,…,xn;w1,…,wm)。 |