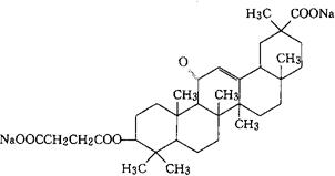
甘珀酸钠[典]
C34H48Na2O7=614.73 CAS-7421-40-1 甘草次酸氨琥珀酸酯二钠盐。 Glycyrrhetic acid hydrogen Succinate disoaium salt. 3β-羟-11-氧代齐墩果-12-烯-30-酸氢丁二酸钠盐。 3β-Hydroxy-11-oxoolean-12-en-30-oic acid hydrogen succinate sodium salt. 抗溃疡病药。可促进胃溃疡愈合。用于胃溃疡。 生胃酮钠,甘草次酸琥珀酸酯二钠。 Carbenoxolone Sodium,Carbenoxolone Disodium, Duogastrone,Glycyrrhetic Acid,Hydrogen Succinate Disodium Salt,Pynogaltrone,Sandon. 甘珀酸钠片(生胃酮钠片),甘珀酸钠胶囊(生胃酮钠胶囊)。 BP,JAN,USAN,MI.  |