网站首页  词典首页

请输入您要查询的字词:

 

字词 生产能力计算
类别 中英文字词句释义及详细解析
释义 生产能力计算

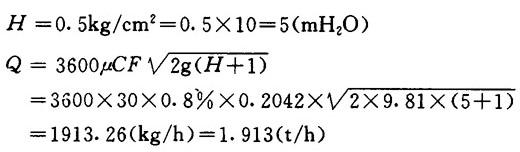
【公式】

式中 Q——生产能力(kg绝干浆/h)

μ——流量系数(一般取29~32左右)

C——良浆浓度(%)

F——筛板总的开孔面积(m2)

g——重力加速度(9.81m/s2)

H——进浆静压头(mH2O)

【例】 某厂生产印刷纸,选用ZSL13型旋翼筛,总有效面积为0.9m2,筛板孔径为Φ2.0mm,开孔率为22.44%,进浆压力为0.5kg/cm2,良浆浓度为0.8%,取流量系数为30.求其生产能力。

解:F=0.91×22.44%=0.2042(m2)

随便看

 

文网收录3541549条中英文词条,其功能与新华字典、现代汉语词典、牛津高阶英汉词典等各类中英文词典类似,基本涵盖了全部常用中英文字词句的读音、释义及用法,是语言学习和写作的有利工具。

 

Copyright © 2004-2024 Ctoth.com All Rights Reserved
京ICP备2021023879号 更新时间:2025/10/18 23:25:06