网站首页  词典首页

请输入您要查询的字词:

 

字词 用试验法求普通结构辊子的刚度及中高度
类别 中英文字词句释义及详细解析
释义 用试验法求普通结构辊子的刚度及中高度

【说明】 通常,对于同一种材料的纵向弹性模数E可能在5~10%的范围内波动,花岗岩辊的变化范围更大一些;另外,由于辊子的实际尺寸不同于计算中所用的公称尺寸,为此,辊筒横截面的实际惯性矩I也与计算值有百分之几的误差,因此,为了提高计算值符合于实际情况的程度,用试验的方法来求得辊筒(主要指普通结构辊)刚度EI及其中高度K是更为合理的。

【方法】 普通结构辊的刚度可由测取其在集中载荷下的挠度来进行计算。如图1-15-50所示,把一对已搭配成上下辊的普通结构辊支承好。在下辊的中心横截面上及两端面处装设三个千分表,其测头自下向上地在铅直平面内顶在辊面上并调整到读数均为零。在上下辊间正中部位垫上一块木块,使上辊的重量和载荷成为集中载荷施加于下辊的中心横截面上。木块的宽度应不少于150~200mm。以免损伤下辊的辊面,木块应表面平滑,厚度均匀。在上辊轴承上每侧分别施加附加压力P/2,于是在下辊正中就受到集中载荷Q=P+Gs(Gs为上辊重量)。下辊在此集中载荷下的挠度可由三个千分表上的读数来求得。正中的的千分表上的读数减去两端干分表读数和之半(即其平均值)所得之差就是下辊在集中载荷下的最大挠度fxmax。进而可计算出下辊的刚度ExIx。

(a)辊筒上的载荷和测量点 (b)挠度计算图

求上辊的刚度EsIs时(见图中a),把三个千分表装到上辊的上方,也同样地在铅直面内位于中心截面及辊面两端处。在把三个千分表的读数都调到零后,在上辊两侧轴承上各施加P/2的附加压力。同上取中间千分表读数减去两端千分表读书的平均值,即是上辊在集中载荷P测施加于正中横截面时的最大挠度fsmax

1.下辊的刚度计算

【公式】

式中 ExIx——下辊的刚度(N·m2)

Gs——上辊重量(N)

P——测定时施加的附加压力(N)

fxmax——测得的下辊最大挠度(m)

b——辊面宽度(m)

l——轴承中心距(m)

2.上辊的刚度

【公式】

式中 EsIs——上辊的刚度(N·m2)

fsmax——测得的上辊的最大挠度(m)

其它同上

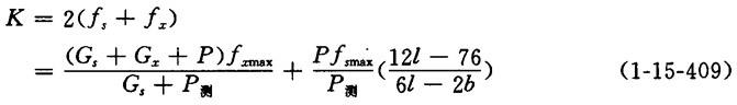
3.上下压辊在附加压力P时所必需的中高度的计算

【公式】

式中 Gx——下辊重量(N)

P——工作条件下上、下压辊的附加压力(N)

P——测定时所施加的附加压力(N)

其它均同上

随便看

 

文网收录3541549条中英文词条,其功能与新华字典、现代汉语词典、牛津高阶英汉词典等各类中英文词典类似,基本涵盖了全部常用中英文字词句的读音、释义及用法,是语言学习和写作的有利工具。

 

Copyright © 2004-2024 Ctoth.com All Rights Reserved
京ICP备2021023879号 更新时间:2025/10/16 22:46:48