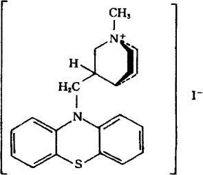
甲喹碘铵
C21H25IN2S=464.41 CAS-101396-42-3 (±)-1-甲基-3-(吩噻嗪-10-基甲基)奎宁环鎓碘化物。 (±)-1-Methyl-3-(phenothiazin-10-ylmethyl)quinuclidinium iodide. 1-甲基-3-(10H-吩噻嗪-10-基甲基)-1-氮鎓双环[2. 2.2]辛烷碘化物。 1-Methyl-3-(10H-phenothiazin-10-ylmethyl)-1-azoniabicyclo-[2.2.2]octane iodide. 支气管扩张药,抗过敏药,平喘药。 Mequitamium Iodide,Mequitazium Iodide,LG 30435. INN,USAN. 
|