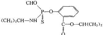
甲基异柳磷
高毒有机磷杀虫剂。 化学名称:O甲基-O-(2-异丙氧基羰基苯基)N-异丙基硫代磷酰胺。化学结构式如下。 纯品淡黄色油状液体,折光率1.5221,不溶于水,易溶于有机溶剂。工业纯品急性口服LD50大鼠(♂)为28.4mg/kg、(♀)为29.69mg/kg、小鼠(♂)为24.9mg/kg、(♀)为33.8mg/kg,经皮大鼠(♂)LD50为68,08mg/kg、(♀)为71.13mg/kg,无作用剂量(NEL)♂大鼠为0.02mg/(kg·d)、(♀)0.019mg/(kg·d)。 对防治地下害虫有较好的效果。40%乳油500ml,加水50~60kg,拌小麦、玉米、高粱种子500~600kg,播种后可防治蝼蛄、蛴螬、金针虫,保苗期20~40天。 亦可用于防治大豆、花生根部线虫。 
|