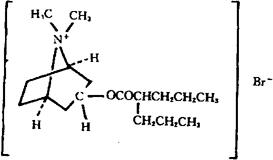
甲溴辛托品
C17H32BrNO2=362.35 CAS-80-50-2 8-甲基托品鎓的溴化物2-丙戊酸酯。 8-Methyltropinium bromide 2-propylpentanoate. 3α-羟-8-甲基-1aH,5αH-托品烷铵鎓2-丙戊酸酯溴化物。 3α-Hydroxy-8-methyl-1αH,5αH-tropanium bromide2-propyLvalerate. 抗胆碱药。 Anisotropine Methylbromide,Actatropine Methylbromide,Lytispasm,Valpin. INN,BAN,DCF,DCIT,JAN,NFN,USAN,MI.  |