网站首页  词典首页

请输入您要查询的字词:

 

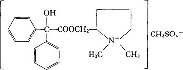
字词 甲硫酸泊尔定
类别 中英文字词句释义及详细解析
释义 甲硫酸泊尔定

C22H29NO7S=451.53

CAS-545-80-2

二苯乙醇酸2-羟甲基-1,1-二甲基吡咯烷鎓,甲基硫酸盐。

2-Hydr2oxymethyl-1,1-dimethylpyrrolidinium methylsulfate,benzilate.

抗胆碱药。

扑尔定甲硫酸盐,泊尔定甲硫酸盐。

Nacton,Nactate,Poldine Methylsulfate.

INN,BAN,BP,USAN,USP,MI.

随便看

 

文网收录3541549条中英文词条,其功能与新华字典、现代汉语词典、牛津高阶英汉词典等各类中英文词典类似,基本涵盖了全部常用中英文字词句的读音、释义及用法,是语言学习和写作的有利工具。

 

Copyright © 2004-2024 Ctoth.com All Rights Reserved
京ICP备2021023879号 更新时间:2025/10/17 18:16:28