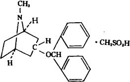
甲磺酰苄托品[台]
C21H25NO·CH4O3S=403.54 CAS-132-17-2 3α-二苯甲氧基-1αH,5αH-托烷甲烷磺酸盐。 3α-Diphenylmethoxy-1αH,5αH-tropane methanesulfonate. 交感神经阻断药。 甲磺酸苯甲托品,甲磺酸苄托品,甲横酸苯扎托品。 Benztropine Mesylate,Cogentin,Cobrentin,Benztropine Methanesulfonate. 甲磺酰苄托品注射液(苄托品注射液,甲磺酸苯扎托品注射液,)甲磺酰苄托品锭(苄托品锭),甲磺酸苯扎托品片。 BP,JAN,USAN,USP,MI.  |