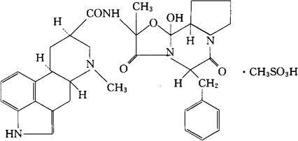
甲磺酸双氢麦角胺
C33H37N5O5·CH4O3S=679.79 CAS-6190-39-2 9,10-二氢-12′-羟-2′-甲基-5α-(苯甲基)-麦角曼-3′,6′,18-三酮单甲磺酸盐。 9,10-Dihydro-12′-hydroxy-2′-methyl-5’-(phenyl methyl)-ergotoman-3′,6′,18-trione monomethane sulfonate(salt). 双氢麦角胺单甲烷磺酸盐。 Dihydroergotamine Monomethanesulfonate. 脑血管扩张药。 Dihydroergotamine Mesylate,Dihydergot,Ditamin,Ergotex. USAN,USP.  |