网站首页  词典首页

请输入您要查询的字词:

 

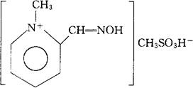
字词 甲磺酸解磷定
类别 中英文字词句释义及详细解析
释义 甲磺酸解磷定

C8H12N2O4S=232.25

CAS-154-97-2

2-[(羟亚氨基)甲基]-1-甲基-吡啶鎓,甲烷磺酸盐。

2-[(Hydroxyimino)methyl]-1-methyl-pyridinium,methanesulfonate,

甲脘磺酸2-甲酰-1-甲基吡啶鎓肟。

2-Formyl-1-methylpyridiniummethanesulfonate oxime.

解毒药。

Pralidoxime Mesylate.

USAN.

随便看

 

文网收录3541549条中英文词条,其功能与新华字典、现代汉语词典、牛津高阶英汉词典等各类中英文词典类似,基本涵盖了全部常用中英文字词句的读音、释义及用法,是语言学习和写作的有利工具。

 

Copyright © 2004-2024 Ctoth.com All Rights Reserved
京ICP备2021023879号 更新时间:2025/10/18 21:32:17